Table des matières
Joindre l'auteur

Exercices de Thermodynamique sur les corps réels

Méthodologie commune aux exercices ci-après

1 - Deux systèmes notés 1 et 2, initialement à température et , de capacités calorifiques à pression constante et sont mis en contact thermique, la pression restant constante au cours de l’évolution. Au bout d’un temps suffisamment long, il s’établit un état d’équilibre où les deux systèmes ont même température (principe 0).

1) La transformation est-elle réversible ?

2) Calculer les quantités de chaleur et échangées par chacun des systèmes ainsi que la température finale .

3) Calculer les variations d’entropie , de chacun des deux systèmes et de l’ensemble des deux systèmes.

4)1) On se place dans le cas , quels sont les signes de , et ?
4)2) On se place dans le cas , quels sont les signes de , et ?
4)3) On fera l’étude mathématique de pour

5) on étudie le cas où le système 2 a une capacité calorifique " infinie " (atmosphère, eau d’un lac, ...).
Que deviennent les résultats des questions précédentes ? On étudiera mathématiquement en fonction de .

6) Reprendre le texte, les raisonnements et les résultats si les transformations pour chacun des systèmes sont isochores.

| Réponse 1) | Réponse 2) | Réponse 3) | Réponse 4)1) | Réponse 4)2) | Réponse 4)3) | Réponse 5) | Réponse 6) |

2 - On considère un cylindre métallique conducteur de l’électricité, de section et de longueur . Sa capacité calorifique est , sa masse volumique est , sa résistance électrique est, sa température initiale est . Les transformations ont lieu à pression constante et on supposera que le matériau constituant le cylindre est suffisamment bon conducteur de la chaleur pour que sa température puisse être considérée comme uniforme.

1) On applique aux bornes de ce conducteur une tension pendant un temps , tout en le maintenant à la température dans un bain isotherme de même température.
1)1) Que peut-on dire de cette opération ?
1)2) Quelle est la nature de l’énergie électrique ? Quelle est la chaleur échangée par le conducteur ?
1)3) Calculer, pour le conducteur, la variation d’entropie, l’entropie échangée, l’entropie créée au cours de cette opération.

2) On applique aux bornes de ce conducteur une tension pendant un temps , en l’entourant d’une gaine parfaitement imperméable à la chaleur.
2)1) Quelle est la température finale du conducteur ?
2)2) Calculer, pour le conducteur, la variation d’entropie, l’entropie échangée, l’entropie créée au cours de cette deuxième opération.

| Réponse 1)1) | Réponse 1)2) | Réponse 1)3) | Réponse 2)1) | Réponse 2)2) |

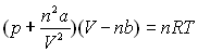
3 - On appelle gaz de Van der Waals un gaz réel d’équation d’état :
1) Montrer que le gaz de Van der Waals obéit au comportement limite commun à tous les gaz appelé gaz parfait (on rappellera la définition du gaz parfait et on donnera une interprétation aux constantes a et b).

2)a) Des mesures expérimentales, pour le gaz de Van der Waals, ont montré que la capacité calorifique à volume constant est indépendante de la température.
En appliquant les principes de la Thermodynamique, calculer l’énergie interne U et l’entropie S du gaz de Van der Waals.
2)b) Retrouver, à partir des questions 1) et 2)a) l’énergie interne et l’entropie du gaz parfait.
2)c) Montrer que, pour une transformation isochore (volume constant) où la température évolue de à , les variations d’énergie interne et d’entropie sont et .

3) Montrer que les résultats de la question 2)c) sont valables pour tout système, de capacité calorifique constante, subissant une transformation isochore.

| Réponse 1) | Réponse 2)a) | Réponse 2)b) | Réponse 2)c) | Réponse 3) |

4 - On étudie un système, de capacité calorifique , subissant une transformation isochore, la température évoluant de la température initiale à la température finale .
1) Pour réaliser la transformation, on met (processus 1) le système, initialement à température , en contact avec une source de chaleur à température .
1)a) Calculer la quantité de chaleur échangée , la variation d’entropie , l’entropie échangée et l’entropie créée (on justifiera l’existence d’une entropie créée).
1)b) Etudier en fonction de . Conclusion.

2) On réalise la transformation en deux phases (processus 2),

2)a) Au cours de chacune des phases du processus 2, calculer les quantités de chaleur échangées , les variations d’entropie , les entropies échangées .
2)b) En déduire, pour le processus 2, la quantité de chaleur échangée , la variation d’entropie , l’entropie échangée et l’entropie créée .
2)c) Comparer processus 1 et processus 2. En déduire que . Imaginer comment réaliser une transformation isochore réversible.

| Réponse 1)a) | Réponse 1)b) | Réponse 2)a) | Réponse 2)b) | Réponse 2)c) |

5 - Expérience de Joule Gay-Lussac

Une mole de gaz est enfermée dans un récipient R1 de volume et la température est .
On ouvre le robinet et le gaz se répartit dans les récipients R1 et R2 , le récipient R2 de volume étant initialement vide.
La température finale est .

1) En admettant que les parois des récipients sont indéformables et parfaitement calorifugées de l’extérieur, montrer que la transformation décrite est une détente à énergie interne constante dite détente de Joule Gay-Lussac.

Pour les équations d’état du gaz parfait et du gaz de Van der Waals, calculer :

2) les variations de température .

3) les variations d’entropie ; justifier le signe de .

4) A.N.

Gaz

- 0,123

- 0,528

- 3,0

- 2,94

- 3,23

| Réponse 1) | Réponse 2) | Réponse 3) | Réponse 4) |

6 - Expérience de Joule Thomson

Un gaz contenu dans un réservoir à la pression et à la température s’écoule lentement en parcourant un tube à parois parfaitement calorifugées. Il traverse une couche poreuse et sort à la pression et à la température . On règle le débit pour atteindre un régime permanent dans lequel les pressions et et les températures et ne dépendent pas du temps.
On considère le système thermodynamique compris, à l’instant , entre les sections A et B. Compte tenu de l’écoulement, ce système à un instant se situe entre les sections A’ et B’.

1) On se propose de calculer le travail nécessaire pour assurer l’écoulement. On appelle le volume entre les sections A et A’ et celui entre les sections B et B’.
En remarquant que le déplacement de A à A’ correspond pour le système thermodynamique défini ci-dessus à une compression à pression , écrire le travail nécessaire à un tel déplacement. En remarquant que le déplacement de B à B’ correspond pour le système thermodynamique défini ci-dessus à une détente à pression , écrire le travail nécessaire à un tel déplacement.
En déduire le travail nécessaire pour assurer l’écoulement.

2)1) Ecrire entre les instants et le premier principe pour le système et montrer que la transformation décrite s’effectue à enthalpie constante.
2)2) En déduire la variation élémentaire de température dT en fonction de celle de pression dp.
2)3) Que devient cette expression dans le cas du gaz parfait ?
2)4) On considère un gaz de Van der Waals et on se place dans des conditions telles que et .
A l’aide d’un développement limité au 2ème ordre en 1/V , déduire .
Montrer qu’il existe une température dite température d’inversion telle que dT est positif pour et négatif pour .

Données sur

le gaz de Van der Waals

 

Gaz

a ()

b ()

0,00341

0,0244

0,139

0,136

0,149

| Réponse 1) | Réponse 2)1) | Réponse 2)2) | Réponse 2)3) | Réponse 2)4) |