Chapitre 7 : Le Second Principe
Plan
1. Le Second Principe pour un système
fermé
1.1. Enoncé
1.2. Entropie d’un système isolé fermé
1.3. Remarques
1.4. Conséquences mathématiques des premier
et second principes
2. Les énoncés historiques de Clausius et
Thomson
2.1. Enoncé de Clausius
2.2. Enoncé de Thomson (Lord Kelvin)
3. Les causes d’irréversibilité
Le Second Principe (appelé en France Principe de S.
Carnot) est né, au début de l’ère industrielle entre 1810
et 1860 des réflexions menées sur le fonctionnement des machines
thermiques. En fait, outre S. Carnot, il convient de citer les travaux de R.
Clausius, G.A. Hirn et W. Thomson anobli en Lord Kelvin.
L’expérience montre que certaines transformations qui satisferaient le
Premier Principe ne se produisent pas, par exemple,
et qu’il est donc nécessaire d’introduire un Second Principe.
Les raisonnements qui ont permis une formulation générale
à partir de ces premières observations sont délicats et,
depuis le milieu du 19ème siècle, il a été
l’objet de nombreuses recherches, en particulier son interprétation statistique
a largement contribué au développement d’idées apparues
au début du 20ème siècle.
Ainsi actuellement, le Second Principe dépasse largement un cadre d’applications
liées aux machines et nous adopterons une présentation axiomatique
inspirée par les travaux d’I. Prigogine dans les années 1950.
Cette démarche pédagogique fait apparaître les énoncés
de Clausius ou Thomson, le fonctionnement des machines thermiques comme des
conséquences justificatrices de la validité du Second Principe.
1. Le Second Principe pour un système fermé
A tout système est associée une fonction d’état
appelée entropie et notée S.
L’entropie est une grandeur additive.Au cours d’une transformation d’un
système fermé la variation d’entropie d’un état initial
à un état final est égale à :
![]()
pour les transformations irréversibles,
pour les transformations réversibles.
C’est cette inégalité qui traduit le fait que certaines transformations
ne sont pas possibles.
Contrairement à l’énergie, l’entropie ne se conserve pas.
Entropie échangée
On appelle source de chaleur tout milieu extérieur
envisagé dans sa capacité à échanger de l’énergie
calorifique (thermique) avec le système.
Remarque : le mot source ne doit surtout pas faire penser que le milieu
extérieur contient de la chaleur ; le milieu extérieur contient
de l’énergie cinétique, potentielle, interne.
Nous limiterons nos propos à des sources de chaleur à température
uniforme.
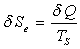
Si d Q est la quantité de chaleur échangée
par le système entre les instants t et t + dt avec une
source à température TS
, l’entropie d Se
échangée sera :
![]()
Le milieu extérieur échange de la chaleur sans
changer de température -milieu extérieur régulé
en température (thermostat) ou à très forte capacité
calorifique (eau d’un lac, d’une rivière, de mer, air atmosphérique,
....
Pendant l’intervalle de temps Dt où
système et milieu extérieur sont en contact thermique, ils échangent
une quantité de chaleur Q et une entropie Se
= Q / TS .
Soit Qi la quantité
de chaleur échangée par le système avec la source i à
température Ti . Au cours de la
transformation, les sources sont successivement ou en même temps en contact
thermique avec le système.
L’entropie échangée est : ![]()
Dans une transformation réversible, le système
passe par une suite continue d’états d’équilibre. Pour s’approcher
de cette condition, il convient qu’à chaque instant l’interaction avec
l’extérieur modifie faiblement l’état d’équilibre existant.
Les échanges de chaleur entre système et sources devront être
" peu importants ", donc les températures du système
et des sources voisines (notre sens commun, à défaut de nos
connaissances sur le transfert thermique, nous persuade que les échanges
de chaleur augmente avec les différences de températures).
Dans le cas idéal de la transformation réversible, les températures
du système et des sources sont identiques.
Cette relation, égalité des températures entre système
et milieu extérieur, traduit la condition d’équilibre pour
un système en interaction thermique.
Si, entre les instants t et t + dt, d Q est la quantité de chaleur échangée avec la (les) source(s), T la température commune, alors d Se = d Q / T.
Comme Sc = 0, on obtient
, ou en intégrant
.
Remarque : l’unité légale de mesure de
l’entropie est le Joule/Kelvin (
).
1.2. Entropie d’un système isolé fermé
Un système isolé hors d’équilibre évolue
vers un état d’équilibre " naturel ou non-contraint
", c’est à dire vers un état d’équilibre qui n’est
pas imposé par l’action du milieu extérieur.
L’écriture du second principe montre que l’entropie est maximale
puisque celle-ci augmente pendant l’évolution vers l’état d’équilibre.
Ce résultat, à savoir l’existence d’une fonction dont la valeur
est extrémale à l’équilibre est d’une portée
générale en Physique.
Deux fois déjà, dans vos études, cette notion a été
abordée :
|
|
L’exemple ci-contre nous aide à mieux comprendre. Dans la cuvette de gauche, il y a un taquet et la bille est en équilibre contraint. Dans la cuvette de droite, il n’y a pas de taquet et la position d’équilibre naturel de la bille est la position la plus basse où son énergie potentielle est moindre que dans l’équilibre contraint. |
On remarquera que, sans frottement c’est à dire sans perte d’énergie mécanique, la bille ne se stabilisera pas à sa position d’équilibre naturel.
La démarche scientifique implique de la rigueur et le
professeur doit se donner les moyens pour expliquer, pour faire comprendre sachant
parfaitement que tout ne sera pas assimilé ... sinon il vaut mieux savoir
dire que certaines questions ne peuvent être exigées, sont d’un
niveau supérieur.
Nous traiterons de cas " en attente " le premier exemple.
Le second exemple est fondamental en Physique mais, pour aborder cette question,
il faut des connaissances certaines de Thermodynamique statistique, il faut
être capable de comprendre ce qu’est un état quantique, être
capable de compter les états microscopiques correspondant à un
même état macroscopique, ... : dans le cadre de cet enseignement
de Physique en L1, nous estimons que traiter cette question est prématurée.
1.4. Conséquences mathématiques des premier et second principes
Nous avons introduit deux fonctions d’état U et S (trois avec l’enthalpie
mais cette dernière se déduit directement de U ou inversement) , leurs variations sont indépendantes de la transformation et ne dépendent que des états initial et final.
Nous disposons de deux méthodes pour calculer ces variations,
Connaissance de U (ou H) et S
Nous apprendrons, en particulier dans le "CHAPITRE 8 : Détermination
des fonctions d'état associées à un système homogène,
sous une phase, en équilibre" que les formes différentielles d
W + d Q et dQ/T
d’un système sont connues.
Ces formes différentielles sont respectivement, selon les premier et
second principes, les différentielles dU et dS des fonctions
U et S ce qui leur confèrent les propriétés
mathématiques remarquables des différentielles totales exactes
, en particulier ces formes différentielles obéissent au critère
de Cauchy.
Nous serons alors capables de calculer les fonctions d'état U
et S.
Calcul de Sc
Ce calcul ne peut être fait qu’à partir de
.
2. Les énoncés historiques de Clausius et Thomson
" La chaleur ne passe pas spontanément d’un
corps froid sur un corps chaud "
Considérons un système
isolé thermiquement constitué de deux sous-systèmes
et
de températures respectives
échangeant entre eux uniquement de l’énergie thermique.
Nous nous plaçons entre les instants t et
où nous pouvons considérer
et
fixées,
nous notons
et
les échanges
de chaleur respectivement aux systèmes
et
.
L’isolation thermique de
conduit à
et à
puisque
le système
n’échange pas de chaleur.
Le caractère additif de l’entropie permet d’écrire aussi ![]()
Le calcul de
ou
ne nécessite
pas de connaître la transformation, il convient de respecter état
initial et état final.
Ainsi pour le système
(ou
) à
température
(ou
), nous pouvons
imaginer qu’il a échangé
(ou
) dans une
transformation réversible c’est à dire avec une source à
température
(ou
).
et 
Soit
ce qui entraîne
.
La chaleur passe spontanément du corps chaud sur le corps froid.
Remarque : nous aurions pu raisonner à partir
du seul système
(ou du seul système
)
et nous aurions trouvé, évidemment, des résultats identiques ;
par contre nous ne sommes pas capable d’affecter l’entropie créée
par irréversibilité, l’exercice du mur (voir ci-après dans
le paragraphe 3) montre que cette entropie d’irréversibilité est
principalement créée dans le système " séparant "
les systèmes
et
.
2.2. Enoncé de Thomson (Lord Kelvin)
" Un système en contact avec une seule source
de chaleur ne peut, au cours d’un cycle, que recevoir du travail et fournir
de la chaleur "
Le premier principe s’écrit 0 = W + Q
Le second principe s’écrit 0 = Q / TS
+ Sc ce qui entraîne ![]()
Généralement,
on exprime ce résultat par la phrase : " avec une seule
source de chaleur, on ne peut réaliser une machine thermique motrice ".
3. Les causes d’irréversibilité
Exemple d’irréversibilité : le transfert thermique
|
|
Une source de chaleur 1 à température constante
T1 fournit de la chaleur à
une source de chaleur 2 à température constante T2
(T1 > T2
). Le contact thermique est assuré par une simple paroi solide.
Si les deux sources sont des fluides nous sommes dans le cas d’un échangeur. |
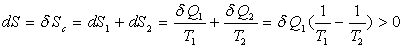
Par suite la variation d’entropie au cours du temps sera nulle (DS = 0). Le système échange de la chaleur, donc de l’entropie, avec chacune des sources. Il reçoit, par unité de temps, l’énergie calorifique dQ / dt de la part de la source à température T1 qu’il perd avec celle à température T2 .
![]()
Le transfert thermique qui a lieu spontanément des parties chaudes vers les parties froides est une cause importante d’irréversibilité.
Les causes d’irréversibilité
Souvent une notion de " lenteur ou de non-brutalité "
est associée aux transformations réversibles.
L’échelle de temps peut être très différente suivant
la cause d’irréversibilité. Ainsi les phénomènes
où les gradients de température sont cause d’irréversibilité
sont particulièrement lents par rapport à ceux où sont
impliqués les gradients de pression.