CHAPITRE 5 : Considérations sur les machines
thermiques
Les travaux de S. Carnot ont porté sur les moteurs thermiques
à vapeur, à son époque seul ce type de machines qui
transforme de la chaleur en travail était connu.
Le raisonnement logique, la Physique et les Mathématiques
ont un caractère extraordinaire, magique.
La formulation du Second Principe a permis de prévoir cette
chose inimaginable pour l’homme commun vivant il y a moins de deux siècles
: retirer de la chaleur à un corps froid (pour le refroidir un peu
plus ou le maintenir froid) et en fournir à un corps chaud (pour
le réchauffer un peu plus ou le maintenir chaud).
Ce dernier type de machines, appareil frigorifique et pompe à
chaleur, font partie de notre quotidien " naturel ".
L’histoire des Sciences fourmille de tels exemples.
La compréhension scientifique n’est elle pas que le résultat
concret entre le magique, le rêve, la curiosité, l’observation,
le raisonnement, la logique ?
" Cette compréhension est nécessaire à chacun pour lutter contre les fantasmes issus de vieux obscurantismes, pour participer aux choix que doivent faire nos sociétés face aux pouvoirs nouveaux apportés par les avancées techniques, et surtout pour entrer dans le réseau des échanges qui lui permettent de devenir une personne engagée dans sa communauté " ALBERT JACQUARD
Il existe deux types de machines thermiques,
1. Considérations théoriques sur les machines dithermes
Dans le cadre de ce cours, seules les machines fonctionnant avec deux sources de chaleur seront envisagées. Des machines polythermes pourront être abordées en Travaux dirigés.
Au cours d’un cycle dont, évidemment, la durée dt
est brève, le fluide échange un travail dW,
une quantité de chaleur dQ1
lorsqu’il est en contact avec la source chaude à température
T1
, une quantité de chaleur
dQ2
lorsqu’il est en contact avec la source chaude à température
T2
.
est la puissance
échangée,
les flux de chaleur échangés avec les sources chaude et froide.
Nous écrivons les premier et second principes sur un cycle :
![]()
![]()
On peut produire du travail à partir de deux sources de chaleur. Le fluide reçoit de la chaleur de la source chaude et en rend une partie à la source froide.
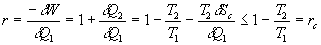
Rendement d’un moteur : on appelle rendement d’un moteur le rapport r du travail produit à la quantité de chaleur reçue.
La source chaude est obtenue, sauf exception, par réaction chimique (combustion) ou réaction nucléaire et a, donc, un coût. Le travail est soit facturé sous forme électrique lorsqu’il est transformé en électricité par le turbo-alternateur à la centrale soit compté, par exemple, dans le coût des transports.
Pour un moteur ditherme :
Pour un moteur fonctionnant suivant un cycle de Carnot,
est nul et le rendement est rc .
Théorème de Carnot :
- Le rendement d’un moteur fonctionnant suivant un cycle de Carnot
ne dépend que des températures des sources, il est indépendant
du fluide et des organes le constituant,
- Le rendement d’un moteur fonctionnant suivant un cycle de Carnot
est maximal.
1.2. Les appareils frigorifiques et les pompes à chaleur
Dans un appareil frigorifique, il s’agit de retirer, par l’intermédiaire
du fluide, de la chaleur à la source froide (air intérieur
de l’enceinte frigorifique) soit pour abaisser sa température, soit
pour la maintenir à une température inférieure à
la température ambiante.
![]()
La machine fournit de la chaleur à la source chaude. C’est donc aussi
une pompe à chaleur.
Les appareils frigorifiques et les pompes à chaleur ne se
différencient que par le but recherché. Une climatisation
fonctionne en appareil frigorifique et en pompe à chaleur.
On remarquera que
Pour faire cette opération, le fluide reçoit du travail (souvent sous forme électrique).
Coefficient d’effet frigorifique : il est noté e
et est égal au rapport de la quantité de chaleur retirée
à la source froide au travail consommé par le fluide.
Pour un appareil frigorifique ditherme
| Coefficient de performance d’une pompe à chaleur : | il est noté h et est égal au rapport de la quantité de chaleur fournie à la source chaude sur le travail consommé par le fluide. |
Pour une pompe à chaleur ditherme
Pour les appareils frigorifiques et les pompes à chaleur, on peut énoncer des théorèmes de Carnot équivalents à celui cité pour les moteurs.
2. L’énergie dans le monde contemporain
Les pays industriels, gros consommateurs d’énergie, satisfont leur besoin essentiellement en créant des sources de chaleur grâce aux réactions exothermiques nucléaires ou de combustions chimiques.
D’autres sources d’énergie existent. Leur défaut majeur
est leur manque de possibilité de concentration par rapport à
l’énergie nucléaire ou à l’énergie des combustibles
fossilisés, leur avantage est leur présence qui permet de
satisfaire des besoins ponctuels.
Il convient de citer,
- les énergies mécaniques (l’énergie
hydraulique utilisée principalement dans les centrales hydrauliques,
l’énergie
du vent utilisée dans les éoliennes,
l’énergie
marémotrice utilisée dans l’usine de la Rance en Bretagne),
- la géothermie utilisée dans le chauffage de
l’habitat,
- l’énergie solaire utilisée pour la production
d’eau chaude ou pour l’alimentation en électricité de système
de faible puissance à partir de cellules photovoltaïques,
- l’énergie verte utilisée sous forme de biomasse
forestière (récupération des déchets et taillis),
de biomasse agricole (bois, paille, canne), de biomasse animale (le fumier
par fermentation dans des digesteurs produit du gaz méthane) , de
carburants liquides (produits à partir de topinambours, de betteraves,
de cannes à sucre).
Considérons une centrale thermique ou " nucléaire ". Elle
fonctionne entre une température de source chaude d'environ 600
K
et de source froide d'environ 300 K. Compte tenu des irréversibilités,
des " pertes en ligne " on obtient un rendement d'environ 0,4. Un kilowatt
électrique est donc produit à partir de 2,5 kilowatts thermiques,
ce qui veut dire que 1,5 kilowatts thermiques sont rendus à la source
froide (eau de rivière, eau de mer, atmosphère).
On conçoit qu’utiliser, par effet joule, de l’énergie
électrique pour se chauffer puisse être critiqué. L’entreprise
EDF vous expliquera que la souplesse d’utilisation, de programmation des
appareillages de chauffage par effet joule permet des économies,
que la politique énergétique choisie par la France a été
de produire 75% de l’énergie électrique à partir des
centrales nucléaires.
Nous n'engagerons pas plus avant un débat qui deviendrait très vite politique, où il conviendrait d'expliquer la politique " d'indépendance énergétique " de la France, où il faudrait engager le débat du traitement des déchets nucléaires, de la pollution atmosphérique, thermique, ….
Considérons une pompe à chaleur fonctionnant entre des températures
de source chaude et froide d'environ 360 K et 270 K. On obtient
un coefficient de performance d'environ 3,5.
Ainsi, avec un kilowatt électrique et produit à partir de 2,5
kilowatts thermiques, on obtient 3,5 kilowatts thermiques. Le chauffage
par pompe à chaleur est énergétiquement intéressant,
par contre il nécessite un investissement important.
2.3. Les limites du Professeur de Science
A une époque où les besoins énergétiques
de l’homme étaient faibles, où les machines thermiques n’avaient
pas été inventées c’est à dire avant l’ère
industrielle, le problème de l’énergie se posait simplement.
Dans son environnement immédiat, l’homme produisait son combustible
primaire (bois, tourbe, ...) nécessaire à sa vie.
Les hommes de Science ont inventé, inventent des produits de
transformation de plus en plus sophistiqués dont la réalisation
nécessite un besoin énergétique considérable
... dans un premier temps facilement réglé car "notre mère
la Terre " avait emmagasiné au cours de son histoire des quantités
" inépuisables " de combustibles primaires (charbon, pétrole,
...).
On est entré (surtout les pays occidentaux) dans une société
de " consommation " réglée par les " économistes "
et les spécialistes de la " force de vente ". Alors vendons, consommons,
ne nous privons pas ... surtout que, mis à part quelques considérations
financières individuelles, chacun dispose d’énergie à
domicile (vecteur électricité, gaz, fuel, charbon)
et de moyens de transport mécanisés.
Quelques hommes, ou plus sûrement quelques conflits (nous pensons
au premier choc pétrolier), ont essayé d’apprendre aux gouvernants
et à l’homme de la rue que les réserves de combustibles primaires
n’étaient pas inépuisables à l’échelle humaine.
La chasse au " Gaspi " a été déclarée (en
France il a été créé l’Agence pour la Maîtrise
de l’énergie ... qui mène campagne lorsqu’il y a problème
dans l’approvisionnement énergétique) et l’homme de Science,
toujours serviable, a amélioré les techniques, a donné
des conseils ... " isolez, une température trop élevée
des locaux est malsaine pour la santé, les rejets thermiques sont
utilisables pour le chauffage à basses températures, il faut
établir des programmes pour développer l’utilisation des
énergies nouvelles ou renouvelables, ... "
Plus sûrement, " on " a demandé à l’homme de Science
de trouver une énergie qui aurait une dimension inépuisable
à l’échelle humaine. Il a " apprivoisé " l’énergie
nucléaire de fission, il espère pour celle de fusion.
Le conflit passé, l’homme de la rue oublie, les commerciaux
l’aident à oublier " regarde cette automobile, elle bénéficie
des nouvelles techniques, elle consomme deux fois moins, tu feras des économies
en l’achetant ". " Dans ces conditions, c’est vraiment une affaire, j’en
achète deux " et l’homme de la rue a roulé trois fois plus.
Tout ceci ne va pas sans difficultés, allègrement réglées
par les responsables.
Chacun est " content " avec, en prime, grâce aux spectacles sportifs
médiatisés, télévisés donc " partenarisés
", le développement du football, les jeux olympiques, le tour de
France, la mondialisation de Coca-Cola(à
l’origine, le Coca-Cola est un élixir " pharmaceutique " ; il n’a
jamais été remboursé.),
les émissions culturelles de jeu (3615 Code ...), ... .
Il y a quelques " caustiques " ... " l’augmentation de la température
du globe, la diminution du dioxygène, l’augmentation du dioxyde
de carbone, la pollution de l’eau, les déchets radioactifs, les
pluies acides, la couche d’ozone, la famine dans le tiers monde, l’immigration,
le chômage des jeunes et des moins jeunes, ... ".
" La Science s’acquiert par l’étude, mais on reçoit la sagesse par infusion " St Thomas d’Aquin (1225-1274)
" Vive les étudiants ma mère, vive les étudiants ! Ils ont … " Chanson estudiantine
3. Quelques données techniques sur la réalisation des machines
3.1. Le moteur à vapeur d’eau fonctionnant suivant un cycle de Carnot

La phase AB de formation de la vapeur s’effectue dans la chaudière.
La vapeur sortant de cette chaudière sous forme de vapeur saturante,
à la pression p1et à
la température T1, se rend
dans le cylindre moteur en traversant une vanne a
dont l’ouverture et la fermeture sont synchronisées avec le déplacement
du piston du cylindre (la vanne b est fermée).
On ferme la vanne a, la vapeur se détend
adiabatiquement jusqu’à ce que le piston ait atteint l’extrémité
de sa course (point mort bas ; phase BC).
On ouvre la vanne b, le piston revient en
arrière et la vapeur est refoulée dans le condenseur parcouru
par une circulation d’eau de refroidissement.
Pendant que le cylindre moteur refoule dans le condenseur la vapeur
détendue, le piston du compresseur (la vanne g
étant ouverte) aspire en provenance du condenseur une masse égale
de mélange liquide-vapeur à pression p2.
La vanne g se ferme, le piston du compresseur
comprime adiabatiquement le mélange jusqu’à la pression p1.
L’eau ainsi formée est réintroduite dans la chaudière
après ouverture de la vanne d.
La chaudière : c’est la source chaude où l’eau
liquide est vaporisée à hautes températures donc à
de fortes pressions pour améliorer le rendement. Ces chaudières
sont à combustion externe directe ou indirecte (échangeur
intermédiaire) utilisant un combustible primaire ou nucléaire.
Le condenseur : c’est la source froide où la vapeur est
partiellement reliquéfiée. Pour améliorer le rendement,
cette opération est faite à faibles températures (40
°C)
c’est à dire à des pressions inférieures à
la pression atmosphérique normale.
Dans les machines roulantes, type locomotives, vu les dimensions du
condenseur imposé par l’importance des chaleurs latentes, on préfère
s’en passer et reliquéfier l’eau dans l’atmosphère c’est
à dire à 100 °C. De l’eau de chaudière
est perdue à chaque cycle, il faudra la renouveler.
Le compresseur : par compression adiabatique du mélange
liquide-vapeur, on obtient du liquide à haute pression. Cette opération
consomme un travail important.
Remarque : dans les moteurs réels, on préfère
liquéfier entièrement la vapeur dans le condenseur et ainsi
ne comprimer que du liquide ce qui nécessite peu de travail et un
compresseur de faible importance ; par contre, le liquide comprimé
sera à basse température et il conviendra de le faire passer
dans un réchauffeur pour le porter à haute température
et l’admettre dans la chaudière.
Le cycle obtenu ne sera plus un cycle ditherme, il est appelé
cycle
de Rankine.
Le cylindre moteur : c’est là que se produit la détente
de vapeur, c’est donc la partie motrice proprement dite. La détente
adiabatique d’une vapeur saturante provoque une liquéfaction partielle.
Il y a donc de l’eau dans le cylindre moteur.
Remarque : dans les moteurs réels, pour éviter
ce phénomène, on chauffe à l’aide d’un surchauffeur
la vapeur saturante à la sortie de la chaudière, on obtient
ainsi de la vapeur sèche que l’on détend dans le cylindre
moteur.
Le cycle obtenu n’est plus ditherme, il est appelé cycle
de Hirn.
Souvent toute la vapeur sèche n’est pas détendue, on
fait des soutirages de vapeur sèche de température élevée
qui servent à chauffer l’eau à la sortie du compresseur (réchauffeur)
ou à chauffer partiellement la vapeur saturante (surchauffeur).
On obtient un cycle de Hirn à soutirages.
En ce qui concerne le travail fourni par le cylindre moteur ou celui consommé dans le compresseur, dans le cycle de Carnot il s’agit de travaux échangés dans des transformations adiabatiques d’un système ouvert. On montre qu’ils sont respectivement égaux aux variations d’enthalpie HC - HBet HA - HD.
3.2. Appareil frigorifique - ou pompe à chaleur - fonctionnant suivant un cycle de Carnot
A un fluide dans l’état A (mélange liquide-vapeur) on
fait subir :
- une compression adiabatique AB dans le compresseur qui l’amène
à l’état B de vapeur saturante,
- il est refroidi isothermiquement (BC) à l’aide du radiateur,
il se liquéfie en fournissant de la chaleur à la source chaude,
- une détente adiabatique CD (détendeur) amène
le liquide saturant (état C) en mélange liquide-vapeur (état
D),
- un réchauffement isothermique par la source froide à
l’aide de l’évaporateur ramène le fluide dans l’état
A.
Le choix du fluide n’est pas quelconque. Il doit être capable
de faire le changement d’état liquide-vapeur pour des températures
comprises entre une température T2
inférieure à la température du milieu que l’on refroidit
et une température T1 supérieure
à la température du milieu que l’on réchauffe.
On utilise le dioxyde de carbone, l’ammoniac, les fréons.
3.3. Les moteurs à combustion interne
On dispose de l’atmosphère ambiante comme source de chaleur froide et de la chaleur de combustion du combustible (essence, ...) et du comburant (dioxygène) comme source chaude. Les gaz inertes (diazote principalement) constituent le fluide de la machine.
Examinons ce qui se passe pour un moteur à explosion à
quatre temps.
![]() |
Admission : partant du point mort haut,
le piston, entraîné par le vilebrequin, descend progressivement
en aspirant le mélange air-essence par la soupape d’admission a.
pendant ce temps la soupape d’échappement e reste fermée.
Lorsque le piston arrive en bas de course (point mort bas) la soupape d’admission
se ferme et les soupapes resteront fermées pendant les deux temps
suivants.
Compression : le piston remonte en comprimant le mélange. Explosion-détente : une étincelle à la bougie provoque l’explosion du mélange, le piston se trouve ainsi repoussé jusqu’au point mort bas. |
Echappement : la soupape d’échappement s’ouvre et le piston en remontant chasse les gaz dans l’atmosphère extérieur où ils se refroidissent.
Dans un diagramme V, p nous représentons la suite des opérations.
Tracé théorique
![]() |
BC : l’explosion étant rapide, on suppose
que le piston n’a pas le temps de se déplacer.
DA : le gaz se refroidit instantanément (!!!) avant l’échappement. La détente et la compression sont adiabatiques, le travail est égal à l’aire du cycle. La chaleur est reçue pendant la phase BC. C’est la chaleur de combustion de la réaction chimique. |
Ce cycle peut être traité comme un cycle fermé où
la chaleur serait produite de manière externe, les phases d’admission
et d’échappement n’existant pas. Les moteurs à air chaud
sont des moteurs à cycle fermé.
![]() |
Le tracé réel dit
cycle de Beau de Rochas est représenté sur la figure ci-contre
et peut être tracé expérimentalement (Travaux pratiques).
Le travail réel est égal à la différence des deux aires. |