Chapitre 4 : Transferts d’énergie et bilans
énergétiques
Nous limitons nos propos aux variables d’état pression, volume, température et quantité de matière.
1. Variables intensives et extensives
Nous considérons un système Shomogène,
sous une seule phase, en équilibre. Les variables d’état
y sont uniformes et constantes.
Elles sont liées par une équation d’état f(p,
V, T, n ou m) = 0.
Considérons une partie S’ de S
et notons que dans cette partie pression p et température
T
sont inchangées alors que le volume est devenu lV,
la quantité de matière ln
ou lm où l
est compris entre 0 et 1.
Les variables d’état ont un caractère différent.
On dira que pression et température sont des variables intensives,
que volume et quantité de matière sont des variables
extensives.
Ainsi si nous écrivons l’équation d’état pour
S
sous la forme V = V(T, p, n ou m), elle s’écrira pour S’
lV=
V(T, p, ln ou lm)
c’est à dire que la fonction
V est une fonction homogène
de degré 1 en n ou en m.
La notation générale que nous utilisons est la suivante
:
L’indice M indique qu’une quantité est rapportée
à une mole de matière (on dit molaire), la barre
qu’elle est rapportée à l’unité de masse de matière
(on dit massique).
Nous avons noté le caractère additif des fonctions
d’état U et S ; pour un système homogène,
sous une phase, en équilibre ces fonctions seront extensives.
Il en sera, de même, de la fonction d’état enthalpie H
= U + pV , la quantité pV produit d’une variable intensive
par une variable extensive étant extensive.
2. Travail des forces de pression extérieure
Le piston (paroi mobile en translation) est la technologie la plus simple pour aborder l’échange d’énergie par travail provoquant un changement de l’état interne du système. Les études de technologies liées à des roues mobiles (turbines) sont plus complexes et ne sont pas envisagées dans le cadre du DEUG A.
Fig. a - Nous raisonnons sur un piston plan de section S dont
le déplacement est suivant la direction verticale x. Ce cas particulier
n’enlève rien à la généralité de nos propos.
Il est soumis à la force de l’opérateur extérieur de composante
verticale
,
à son poids
,
à la pression de l’environnement
,
à la force tangentielle de frottement de contact
(seule la projection tangentielle travaille) et à la force
qu’exerce le système fluide sur le piston (
est la force exercée par le piston sur le fluide).
Nous cherchons à connaître le travail dW
échangé par le système fluide du à l’action du piston,
soit
où
est le vecteur déplacement élémentaire du piston.
L’application du théorème de l’énergie cinétique
au piston permet d’écrire :
Pour le travail de la force de frottement, la vitesse à considérer est celle de glissement du piston sur la paroi du cylindre qui, ici , se confond avec la vitesse v du piston puisque le mouvement est une translation.
La pression extérieure est définie par la relation
si bien que le travail échangé s’écrit
où nous avons introduit
variation de volume du système fluide (pour un déplacement du
piston positif, nous avons une diminution de volume du système ce qui
explique l’origine du signe moins).
L’expression de dW est, même
pour ce cas simplifié, difficilement manipulable car il nous faut
connaître le problème mécanique.
Aussi nous envisageons dW,
- pour un travail des forces de frottement négligeable (le but
étant d’échanger du travail avec le système fluide,
les parties mécaniques piston-paroi sont lubrifiées et la
vitesse de glissement est suffisamment faible),
- pour une énergie cinétique négligeable (vitesse
de déplacement du piston suffisamment faible et/ou masse du piston
négligeable)
alors le travail échangé est égal à
Fig. b - Dans le cas général, le calcul doit être
fait à chaque élément de surface dS sans faire
d’hypothèse sur les directions des forces ou des déplacements.
La pression extérieure
au
point M doit être comprise comme la somme de la pression d’environnement
et des projections, suivant la normale à l’élément de surface,
des forces extérieures (force d’opérateur et poids).
Alors
(en
négligeant le travail des forces de frottement de contact et l’énergie
cinétique de l’élément de surface)
Remarque : si
,
le travail est moteur (le système " pousse " sur le milieu extérieur)
; il est récepteur dans le cas opposé.
Cas d’une pression extérieure uniforme
Dans ce cas là, entre deux instants successifs, nous pouvons intégrer
l’expression de
à tous les éléments de surface.
où dV
est la variation de volume du système.
Cas d’une transformation quasistatique, d’une transformation réversible
Le système est en état d’équilibre ou très
voisin d’un état d’équilibre. Les vitesses de déplacement
ou de glissement sont " nulles ".
La pression du système est uniforme et égale à
p.
En écrivant le principe fondamental de la dynamique sur chaque élément
de surface, on obtient :
*
(transformation
réversible ; cette condition traduit aussi la condition d’équilibre
mécanique sur une paroi mobile)
*
(transformation
quasistatique).
Le travail échangé est égal à
Représentation du travail dans un diagramme V, p
![]() |
= - aire entre la courbe, les droites Cas d’un cycle : W > 0 si le cycle est décrit dans le sens trigonométrique (ou positif) W < 0 si le cycle est décrit dans le sens inverse (ou négatif). W > 0 le système est une machine réceptrice W < 0 le système est une machine motrice |
Ces schémas montrent que le travail des forces de pression extérieure dépend des états initial et final, des états intermédiaires c’est à dire de la transformation amenant de l’état initial à l’état final (on dit du chemin suivi).
3. Chaleur sensible. Chaleur latente
Lorsque l’échange de chaleur a pour effet de faire varier la température d’un système sans changement de phase, on parle de chaleur sensible. Par contre, s’il s’agit d’un corps pur changeant de phase à température constante, on parle de chaleur latente (rappelons que, dans ce cas, la pression est constante -Chapitre 2-).
3.1. Chaleur sensible. Capacités calorifiques
Transformation à volume constant (transformation isochore)
Réalisation : il suffit que les parois qui délimitent le système soient indéformables et fixes ; ceci est facilement réalisable pour les systèmes gazeux, presque impossible pour les liquides ou les solides (dont les volumes varient peu mais sur lesquels il faudrait exercer des forces très importantes pour les empêcher de changer de volume)
Pour un système fermé, le premier principe de la Thermodynamique
s’écrit :
puisque le travail échangé est nul.
La fonction d’état U dépend des variables d’état
dont deux seulement sont indépendantes (existence d’une équation
d’état). Si nous imposons une condition (ici
),
il n’y a plus qu’une variable indépendante. Nous choisissons la température
T comme variable indépendante ce qui veut dire que nous considérons
la pression p comme une fonction de la température.
Ainsi dans le cas d’une transformation à volume constant
,
la quantité
est appelée capacité calorifique à volume constant,
l'unité de mesure dans le système MKSA est le J/K.
Le caractère additif de U et intensif de T donne à
un caractère additif.
Pour un mélange, la capacité calorifique est la somme des
capacités de chacun des constituants ; pour un corps pur, le caractère
devient extensif c’est à dire que
.
Le calcul de
est indépendant de la transformation (en particulier de la nature réversible
ou non de la transformation), il ne dépend que des états initial
et final, soit
Sauf avis contraire,
pourra être pris " constant " si bien que
si la transformation est isochore (à volume constant).
Transformation à pression constante (transformation isobare)
Réalisation : Le milieu extérieur impose une pression
; dans les états initial ou final, il y a équilibre entre des
pressions entre le milieu extérieur et le système ; lors de la
transformation, le volume du système varie, sa pression reste constante
(transformations quasistatique et réversible) ou devient non-uniforme
(transformation irréversible).
La fonction d’état H dépend des variables d’état
dont deux seulement sont indépendantes (existence d’une équation
d’état). Si nous imposons une condition (ici
),
il n’y a plus qu’une variable indépendante. Nous choisissons la température
T comme variable indépendante ce qui veut dire que nous considérons
le volume V comme une fonction de la température.
Ainsi dans le cas d’une transformation à pression constante
,
la quantité
est appelée capacité calorifique à pression constante,
l'unité de mesure dans le système MKSA est le J/K.
Le caractère additif de H et intensif de T donne à
un caractère additif.
Pour un mélange, la capacité calorifique est la somme des
capacités de chacun des constituants ; pour un corps pur, le caractère
devient extensif c’est à dire que
.
Le calcul de
est indépendant de la transformation (en particulier de la nature réversible
ou non de la transformation), il ne dépend que des états initial
et final, soit
Sauf avis contraire,
pourra être pris " constant " si bien que
si la transformation est isobare (à pression constante).
3.2. Chaleur latente de changement de phase (d’état) d’un corps pur
Cette transition de phase qui s’effectue à température
et pression constantes s’accompagne de transferts d’énergie.
![]() |
On appelle chaleur latente (massique ou molaire) de changement d’état d’un corps pur à la température T la variation d’enthalpie (de l’unité de masse ou d’une mole) de ce corps passant d’un état (solide, liquide ou gazeux) à un autre état. |
La Calorimétrie a pour objet la mesure des capacités calorifiques
et des chaleurs latentes. Le chapitre 7 " Propriétés de la
matière " apportera un certain nombre de connaissances essentielles
avant d’entreprendre la façon de faire ces mesures.
A ce stade du cours, nous nous contenterons de dire que
et
se déduisent
l’un de l’autre et que c’est la mesure de la capacité calorifique à
pression constante qui est le plus facilement accessible.
En fait, pour les solides et les liquides,
et
sont
peu différents (quelques %), alors que, pour un gaz, les valeurs respectives
sont sensiblement différentes.
Pour tous les corps,
est supérieur à
(on introduit, de manière utile, le rapport
).
Les chaleurs latentes sont, d’autre part, très importantes.
Nous ne donnons qu’un seul exemple : pour élever 1 kg d’eau
liquide de 0 °C à 100 °C, il faut 418
kJ
; pour transformer 1 kg d’eau liquide à 100 °C
en 1 kg de vapeur à la même température, il
faut 2253 kJ soit environ 4 fois plus.
On trouvera , à la fin du cours, dans l’annexe " Détermination
expérimentale des caractéristiques thermodynamiques "
un certain nombre de résultats expérimentaux.
4. Etude énergétique du gaz parfait
4.1. Fonctions d’état U, H et S
| Expérience de Joule Gay-Lussac
Une mole de gaz est enfermée dans un récipient R1.
|
![]() |
Pour un gaz parfait, la température est constante si l’énergie
interne est constante, soit
ou
où
ne peut dépendre que de la température.
Ces résultats constituent la première loi de Joule et sont conformes avec ce que nous avons exposé dans le Chapitre 2
| Expérience de Joule-Thomson | |
| Un gaz à pression On considère le système thermodynamique compris, à l’instant |
![]() |
Le travail échangé entre les instants
et
par le
système est égal à
si
est la
partie de volume du système comprise entre les section A et A’ et
est la partie de volume du système comprise entre les section B et B’.
Le lecteur qui aurait quelques difficultés pourra imaginer deux parois fictives situées initialement aux sections A et B ; en fait, la vraie difficulté est qu’il s’agit d’un système ouvert et que ceux-ci seront étudiés dans le chapitre 6.
L’écriture du principe de conservation (où on néglige
toute variation d’énergie cinétique, écoulement à
faible vitesse, et toute variation d’énergie potentielle, tube horizontal)
conduit à :
(
puisque les
parois sont parfaitement calorifugées).
En réorganisant, on obtient :
.
L’écoulement (la détente) de Joule-Thomson est un écoulement
(une détente) isenthalpique (à enthalpie constante)
Si la pression
n’est pas trop élevée (gaz se comportant comme un gaz parfait),
la température ne varie pas lors de la traversée de la couche
poreuse (
).
Pour un gaz parfait, la température est constante si l’enthalpie est
constante, soit
ou
où
ne peut dépendre que de la température.
Ce résultat constitue la deuxième loi de Joule.
Remarques :
Pour toutes les transformations, les capacités calorifiques seront prises constantes
4.2.1. Transformation isochore (V = Cste)
|
|
|
Pour une transformation réversible où
la température du système évolue progressivement de
,
on obtient :
et ![]()
![]()
Pour une transformation irréversible où
la source impose " brutalement " une température
,
on obtient :
,
; 
Le lecteur montrera que
est positif quelques soient
; il pourra poser
.
4.2.2. Transformation isobare (pression extérieure pe )
|
|
|
Pour une transformation réversible où
la température du système évolue progressivement de
,
on obtient :
et ![]()
![]()
Pour une transformation irréversible où
la source impose " brutalement " une température
,
on obtient :
,
; 
Le lecteur montrera que
est positif quelques soient
; il pourra poser
.
4.2.3. Transformation isotherme
|
Réalisation : Le système est en contact avec une source de chaleur à température constante TS ; dans les états initial ou final, il y a équilibre des températures entre le milieu extérieur et le système ; lors de la transformation, la température du système reste constante (transformations quasistatique et réversible) ou devient non-uniforme (transformation irréversible). |
|
(puisque
première
loi de Joule)
![]()
Pour une transformation réversible,
et ![]()
Autre démonstration : dW
= -pdV = Vdp = -dQ
Les variables p et V ne sont pas indépendantes puisque
liées par l’équation d’état pV=nRTS
On obtient : ![]()
Pour une transformation irréversible où
la pression extérieure
est
imposée " brutalement ",

Le calcul de l’entropie créée par l’irréversibilité
se fait à partir de :
.
Le lecteur montrera que
est positif quelques soient
; il pourra poser
.
4.2.4. Transformation adiabatique (Q = 0)
|
Réalisation : Le système est isolé thermiquement de l’extérieur c’est à dire que les parois qui délimitent le système sont imperméables à la chaleur (athermales) ; ceci peut être réalisé par des parois constitués de matériaux non conducteurs de la chaleur ou en éliminant le phénomène de convection et en disposant des écrans anti-rayonnants pour éliminer les échanges par radiations thermiques. |
|
Le premier principe s’écrit DU
= W, le second DS = Sc
.
Pour une transformation réversible, Sc
est nul donc aussi DS (ð
S est constant).
Une transformation adiabatique réversible est une transformation
isentropique.
En exploitant les formules de l’entropie, on obtient une relation suivant
le couple de variables utilisées.
Si g est constant, on retient la relation
vraie à
chaque instant de la transformation, étant entendu qu’il est facile de
passer aux autres couples de variables en utilisant l’équation d’état
des gaz parfaits. Ce résultat est souvent appelé loi de Laplace.
Ainsi, par exemple si le système initialement à pression
et température
évolue jusqu'à un état final où la pression est
, la température
finale est
.
Le calcul le plus simple de W se fait à partir de
.
On peut aussi faire un calcul direct à partir de
.
Pour une transformation irréversible, où,
sur le système initialement à pression
et température
,
on impose " brutalement " une pression extérieure constante
, on calcule W
par deux méthodes,
Nous disposons de deux relations indépendantes, de l’équation
d’état des gaz parfaits dans les états initial et final :
le problème thermodynamique est alors entièrement défini.
En les égalant et en organisant, on obtient ![]()
5. Transferts thermiques (transferts de chaleur ou d’énergie calorifique)
On appelle échangeur de chaleur le milieu solide qui sépare le système de la source de chaleur. Une paroi de faible épaisseur, de grandes dimensions transversales, est la représentation la plus simple d’un échangeur de chaleur.
La non-uniformité de la température dans un solide entraîne
un transfert d’énergie d’un point à un autre. Ce transfert
qui se produit sans transport macroscopique de matière est
appelé " Conduction de la Chaleur ".
Il est régi par le loi de Fourier.
Dans les systèmes solides, seul ce mode de transfert est possible. Dans
les fluides, il peut être secondaire par rapport au transfert par convection.
Nous nous limitons à des solides homogènes et isotropes où,
en chaque point, existe un champ de température
Loi de Fourier
Expérimentalement, si la variation spatiale de température
n’est pas trop forte, le vecteur densité de flux de chaleur est égal
à :
La densité de flux de chaleur j (flux de chaleur
par unité de surface transversale
)
dans une direction caractérisée par un vecteur unitaire
est :
Ce type d’équation est appelé équation de diffusion,
l’écoulement de chaleur, qui se produit dans le sens des températures
les plus faibles, tend à uniformiser les températures.
Dans le système MKSA, j se
mesure en W.m-2 et
l
en W.m-1.K-1
.
l est appelé conductivité
thermique et traduit l’aptitude d’un matériau à conduire
la chaleur.
Remarque : Lorsque, dans un milieu fluide, existent des gradients de concentration de matière, il se produit des mouvements de matière qui tendent à uniformiser la concentration de matière. Ce phénomène de diffusion de matière est régi par une loi analogue à celle de Fourier appelée loi de Fick.
Quelques conductivités thermiques aux températures
ordinaires
| Ordre de grandeur de l à 20 °C |
|
| Gaz à la pression atmosphèrique |
|
| Matériaux isolants |
|
| Liquides non Métalliques |
|
| Solides non métalliques |
|
| Liquides métalliques |
|
| Alliages métalliques |
|
| Métaux purs |
|
| Ag |
|
Béton brut |
|
H2 |
|
| Cu |
|
Verre |
|
He |
|
| Al |
|
Plâtre |
|
Ne |
|
| Laiton |
|
Bois |
|
O2 |
|
| Fe |
|
Laine de verre |
|
N2 |
|
| Pt |
|
Polystyrène |
|
Ar |
|
| Pb |
|
Eau |
|
CO2 |
|
| Ti |
|
Alcool |
|
Kr |
|
| Inox |
|
Huile minérale |
|
5.2. Echanges de chaleur à la frontière d’un solide
![]() |
C’est le mode de transfert que l’on observe
entre un solide et un fluide. Il comprend des phénomènes
de conduction auxquels se superpose un transport de matière, les
molécules du fluide venant se réchauffer ou se refroidir
au contact du solide.
Le transport de matière dans un fluide peut se faire de deux manières :
|
La surface d’un solide émet un rayonnement électromagnétique
complexe d’énergie d’autant plus grande que cette surface est à
température plus élevée.
Ce rayonnement se propage dans les milieux transparents. Lorsqu’il
rencontre un corps, il est totalement absorbé (corps noir), partiellement
absorbé (corps réfléchissants, semi-transparents)
ou pas du tout absorbé (corps parfaitement réfléchissants,
corps transparents). L’énergie absorbée est transformée
en énergie interne.
Le spectre du rayonnement électromagnétique dépend
de la température de surface du corps qui émet, de la nature
du corps et de son état de surface.
L’aptitude d’un corps à réfléchir, transmettre
ou absorber un rayonnement dépend aussi de ces paramètres.
Un bilan énergétique montre que, pour un corps en équilibre
thermique, son aptitude à absorber un rayonnement est identique à
son aptitude à en émettre. On rend compte de cette aptitude par
un coefficient
compris entre 0 et 1, appelé émissivité.
La densité de flux d’énergie émise par un corps,
à température T, sous forme de rayonnement électromagnétique
est égale à
où
est la constante de Stéfan-Boltzmann.
est une fonction
des émissivités des surfaces et de leur position relative.
Pour en savoir plus
Dans une direction
,
la puissance énergétique spectrale (flux énergétique)
d’un rayonnement de longueur d’onde compris entre
,
émis (ou absorbé) par un élément de surface
dans
un angle solide
est donnée par la relation :
où
est l’angle entre
et
et
l’émissivité spectrale dans la direction considérée.
est la luminance
spectrale du corps noir qui est un corps qui absorbe tout rayonnement
[
].
Suivant une théorie de Planck introduisant la notion
de quantum d’énergie,
La valeur
correspondant
à un maximum de la luminance spectrale est donnée par la loi de
Wien, à savoir
.
Pour les corps obéissant à la loi de Lambert (les métaux
n’obéissent pas à cette loi), l’émissivité ne dépend
pas de la direction [
],
ð
La quantité
est
appelé émittance spectrale
On en déduit, si l’émissivité ne dépend
pas de la longueur d’onde, la densité de flux énergétique
émise par rayonnement :
6. Bilans énergétiques simples faisant intervenir les transferts thermiques
6.1. Paroi solide inerte d’échangeur en régime permanent
Pour ce type de système, il n’y a pas, au cours du temps, de
variation de son énergie totale, ni d’échange de travail
avec le milieu extérieur puisque le volume est constant.
Le principe de conservation de l’énergie impose qu’à
chaque instant la chaleur échangée est nulle.
Mathématiquement, on écrit que le flux de chaleur
échangé par le système est nul (à chaque instant,
le flux de chaleur
" entrant " est égal au flux de chaleur
" sortant ", soit
puisque le régime est permanent).
Dans le cas particulier où, dans le bilan énergétique, seuls interviennent des échanges de chaleur, on emploie l’expression bilan thermique.
6.1.1. Paroi en forme de " mur "
En thermique, on appelle " mur " un système où les échanges
de chaleur se produisent suivant une direction cartésienne, par
exemple x.
représente
donc le champ de température en régime permanent.
![]() |
Le bilan thermique est fait sur un élément
de volume adapté, dans ce cas celui compris entre les abscisses
x
et x+dx de surface transversale S arbitraire.
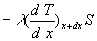
Suivant la loi de Fourier, le flux de chaleur " entrant " par conduction par la face x est égal à |
Le bilan thermique consiste à écrire que le flux de chaleur qui entre est égal à celui qui sort.
ð
La résolution, avec les deux conditions aux limites
et
, conduit
à
et
représente
la résistance thermique pour une section transversale S
et
le flux
de chaleur. Nous pouvons faire une analogie avec le domaine électrique
en régime permanent entre différences de température et
différence de potentiel d’une part et, d’autre part, flux de chaleur
et intensité du courant électrique.
et
apparaissent comme les résistances thermiques liées au coefficients
et
et
On place, aux frontières de la paroi, des solides de forme particulière
appelés " ailettes ou barres ". L’augmentation des échanges
de chaleur (diminution de la résistance thermique) est obtenue par
l’augmentation de la surface d’échange avec les fluides extérieurs.
Ces solides sont de forme allongée, c’est à dire possèdent
des dimensions transversales faibles par rapport à la troisième
dimension.
Le gradient de température a lieu principalement dans le sens
de cette dernière direction. Chaque section transversale est, en
première approximation, à température uniforme ce
qui n’est pas contradictoire avec le fait de considérer des échanges
de chaleur suivant ces directions jusqu’au contact avec le fluide extérieur.
L’ efficacité
d’une ailette est définie par le rapport du flux de chaleur échangé
par l’ailette au flux de chaleur qui serait échangé si elle n’existait
pas.
Des notions complémentaires sur les ailettes seront abordées
en travaux dirigés.
Pour en savoir plus
![]() |
Un bilan thermique entre deux sections quelconques
prises dans chacun des deux murs conduit à :
Par suite, |
Le problème posé est celui de l’écart
.
L’extrapolation jusqu’au contact du champ de température dans le milieu
1 conduit à la valeur
qui est, à priori, différente de
température
d’extrapolation jusqu’au contact dans le milieu 2.
Pour tenir compte de cet écart, on introduit une résistance
thermique supplémentaire appelée résistance thermique
de contact suivant la relation
Les valeurs de la résistance de contact sont sensibles
si la conductivité du fluide interstitiel est très différente
de celles constituant les matériaux en contact, donc dans le cas
de matériaux en contact conducteurs.
Si l’écart
est négligeable, on dit que le contact est parfait.
On remarque, de plus, que
6.1.2. Paroi à symétrie de révolution. Paroi à symétrie sphérique
Symétrie de révolution autour d’un axe
;
où r est la distance à l’axe et L une longueur axiale arbitraire.
et
.
représente
la résistance thermique (
).
Symétrie sphérique
;
où r est la distance au centre de symétrie.
et
représente
la résistance thermique (
).
6.2. Bilans énergétiques pour un solide en régime transitoire
Entre deux instants successifs t et t + dt, le premier principe de la Thermodynamique pour un système peut être écrit :
où
6.2.1. Cas où la température du solide est uniforme
![]() |
On considère un milieu de volume V,
de surface S, de capacité calorifique La température extérieure |
Le bilan thermique conduit à
,
soit
En régime permanent, on obtient
Pour en savoir plus
6.2.2. Equation de la chaleur
On considère un élément
du milieu quelconque, suffisamment petit pour être homogène,
de volume V, limité par une surface S.
|
![]() |
Pour des conductivités thermiques indépendantes de
la température et des milieux isotropes, on obtient :
est la diffusivité
thermique (m2.s-1).
6.3. Bilan énergétique pour un fluide
en écoulement permanent
![]() |
L’écoulement permanent d’un fluide s’effectue
à pression constante.
Il reçoit un flux de chaleur Une quantité de masse dm de fluide échange la quantité de chaleur |
Par unité de temps, on écrit
où
est le flux de chaleur échangé par le fluide.