Table des matières
Joindre l'auteur

Oscillateurs à un degré de liberté
 

Plan

Exercices
Problèmes :
- Régime transitoire d’un oscillateur mécanique
- Oscillations forcées d’un oscillateur mécanique
- Principe d’un sismographe
- Vibration d'une molécule

Les illustrations et animations de Geneviève Tulloue

Oscillateur linéaire horizontal   
Pendule élastique   
Oscillateur spatial : loi des aires   
Oscillateur spatial amorti   

                                          CABRI

Exercices

1 - Une masse m est reliée à deux ressorts identiques placés verticalement. Les extrémités des ressorts sont distants de . Chaque ressort non tendu a une longueur , sa raideur est k.
1)1) Calculer, à l’équilibre, les longueurs des ressorts. Montrer que, si , on peut prendre .
1)2) Dans cette hypothèse, la masse m peut se déplacer horizontalement de x à partir de sa position d’équilibre. Etablir l’équation du mouvement. Résoudre cette équation en supposant . Trouver une intégrale première du mouvement et une constante du mouvement.

| Réponse 11 | Réponse 12 |

2 - Un solide homogène de section S , de hauteur l, de masse volumique flotte sur un liquide de masse volumique .

2)1) Calculer la hauteur immergée dans le liquide à l’équilibre.
2)2) A partir de cette position d’équilibre, on enfonce le solide de () et on le lâche sans vitesse initiale.
Etablir l’équation du mouvement et calculer position du solide par rapport à l’équilibre.

2)3) Trouver une intégrale première du mouvement et une constante du mouvement.
On négligera toute force de frottement du liquide sur le solide.

| Réponse 21 | Réponse 22 | Réponse 23 |

3 - On considère un récipient fermé par un piston de masse mobile sans frottements

Dans le col vertical de section d’un récipient.
Le récipient contient n moles de gaz parfait dont on cherche à déterminer le rapport . A l’extérieur, l’air est à pression . A l’équilibre, le volume intérieur du récipient est .
3)1) Calculer la pression du gaz intérieur à l’équilibre.
3)2) Le piston est déplacé de sa position d’équilibre et lâché sans vitesse initiale. Les transformations ultérieures du gaz sont quasi-statiques mais assez rapides pour être adiabatiques et, en Thermodynamique, on apprend que les transformations obéissent à la relation

3)2)1) Décrire la nature des mouvements (de faible amplitude) du piston.
3)2)2) Soit z la position du piston par rapport à sa position d’équilibre. Ecrire la variation de volume du gaz intérieur.
3)2)3) Trouver une relation entre les variations de volume et du gaz intérieur (ces variations restent faibles devant respectivement V et ).
3)2)4) En déduire l’équation différentielle du mouvement du piston. Donner l’expression théorique de la période du mouvement. Si est la période, calculer g .
3)2)5) Trouver une intégrale première du mouvement et une constante du mouvement.

| Réponse 31 | Réponse 321 | Réponse 322 | Réponse 323 | Réponse 324 | Réponse 325 |

Problème

A) Régime transitoire d’un oscillateur mécanique

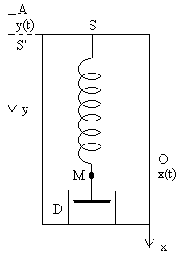
Un ressort élastique, de masse négligeable, de raideur , de longueur à vide , a son extrémité supérieure S fixe. A l’extrémité inférieure est fixé un corps M assimilable à un point matériel de masse .
Le rôle unique de l’amortisseur D, de masse négligeable, lié à M, est d’exercer sur le corps la force , où désigne la vitesse de M et un coefficient de frottement fluide, positif.
Les mouvements de M sont verticaux; ils sont étudiés dans le référentiel, considéré comme galiléen, pour lequel S est fixe.
La position M est repérée, au cours du temps, par son abscisse sur l’axe vertical descendant , fixe. A l’équilibre, l’abscisse de M est nulle.

A)1) Expliquer la phrase " référentiel considéré comme galiléen ".
A)2) A l’équilibre, l’allongement du ressort est désigné par . Exprimer en fonction de , de et de la valeur absolue de l’intensité de pesanteur.
A)3) Etablir l’équation différentielle du mouvement de M.
A)4) On supprime l’amortisseur D, puis on abandonne M sans vitesse initiale à l’abscisse . Etablir l’expression de ; on posera .
Calculer l'énergie cinétique, l'énergie potentielle et l'énergie mécanique à un instant t.
Calculer les valeurs moyennes des énergies cinétique et potentielle. Conclusion.
A)5) Après avoir replacé l’amortisseur D, on reprend la même opération que celle décrite précédemment en A)4), on posera .
Dire qualitativement quels sont les régimes possibles d’évolution de . La résolution de l’équation différentielle n’est pas demandée.
Définir et exprimer le coefficient de frottement critique .

A)6) Calculer l’énergie dissipée dans l’amortisseur D pendant le régime transitoire.

| Réponse A1 | Réponse A2 | Réponse A3 | Réponse A4 | Réponse A5 | Réponse A6 |

B) Oscillations forcées d’un oscillateur mécanique

Au dispositif de la partie A, on ajoute un dispositif supplémentaire grâce auquel le corps M est soumis à la force verticale , qui vient s’ajouter aux forces étudiées dans la partie A.

B)1) Etablir l’équation différentielle du mouvement de M.

B)2) Calculer l’amplitude de la vitesse.
Définir puis établir l'expression donnant la bande passante.
Définir puis établir l'expression donnant le facteur de qualité Q.
Calculer le déphasage entre la vitesse et la force.

B)3) Calculer, en régime forcé, pour :
B)3)a) l’énergie dissipée en une période ;
B)3)b) l’énergie cinétique maximale ;
B)3)c) l’énergie potentielle maximale (l’énergie potentielle de référence sera prise en )
B)3)d) l’expression ; conclusion.

| Réponse B1 | Réponse B2 | Réponse B3a | Réponse B3b | Réponse B3c | Réponse B3d |

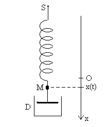
C) Principe d’un sismographe

L’ensemble décrit en A est placé dans un boîtier qui peut effectuer des mouvements de translation verticale; cet ensemble schématise un sismographe.
La position du boîtier est repérée par la cote sur un axe fixe. Les mouvements imposés au boîtier entraînent des mouvements de M qui sont repérés par leur abscisse sur un axe lié au boîtier.
C)1) Le boîtier effectue des oscillations sinusoïdales forcées : . On pose .
En faisant intervenir les grandeurs et , établir l’équation différentielle du mouvement de M par rapport au boîtier, en prenant pour variable l’abscisse .

C)2) En régime forcé, . On pose et .
C)2)a) Exprimer en fonction de et de .
C)2)b) Exprimer en fonction de et de .
C)3) Le conditions d’utilisation du sismographe sont telles que doit être égal à , à 2 % près, pour . Déterminer le domaine de variation de .

| Réponse C1 | Réponse C2a | Réponse C2b | Réponse C3 |

D) Vibration d'une molécule

La molécule d'HCl peut être schématisée par deux points matériels et , de masses respectives et , portant des charges respectives et .
On pose et on donne les valeurs numériques suivantes :
; ; ;

D)1) Qu'appelle t-on barycentre de deux points matériels ? Qu'appelle t-on référentiel barycentrique ?

D)2) L'énergie potentielle d'interaction entre et est de la forme :
A est une constante positive.
Quelle signification physique peut-on donner à chacun des deux termes ?
Donner l'allure de la courbe . Montrer qu'il existe une valeur pour laquelle le système est dans une position d'équilibre stable. En déduire une expression pour la constante A.

D)3) On étudie les oscillations libres de la molécule.

D)3)a) Montrer que le référentiel barycentrique est galiléen pour le mouvement des deux points matériels si leur énergie potentielle d'interaction ne dépend que de leur distance. Exprimer la relation fondamentale de la dynamique dans un référentiel lié à . Pouvait-on considérer que le référentiel lié à était galiléen pour le mouvement de .
D)3)b) On pose avec car on se limite aux mouvements de faible amplitude autour de la position d'équilibre dans une direction déterminée.
Exprimer l'énergie potentielle en utilisant un développement limité au deuxième ordre.
D)3)c) Exprimer l'énergie cinétique . A partir de la conservation de l'énergie, en déduire l'équation différentielle à laquelle obéit la variable x.
D)3)d) En déduire la fréquence propre des oscillations libres de la molécule. Application numérique si .

D)4) On soumet la molécule à un champ électrique de la forme est le vecteur unitaire de l'axe des x.
D)4)a) Etudier le mouvement forcé. En déduire la fréquence de résonance.
D)4)b) Si n est le nombre de molécules d'HCl par unité de volume, exprimer le vecteur polarisation créé par déplacement ionique. Exprimer la dépendance de l'indice optique avec la fréquence. Que se passe t'il pour ?

| Réponse D1 | Réponse D2 | Réponse D3a | Réponse D3b | Réponse D3c | Réponse D3d | Réponse D4a | Réponse D4b |