Modeling of the erbium-ytterbium laser
E. Tanguy[+], C. Larat, J.P. Pocholle
Thomson-CSF, Laboratoire Central de Recherches, Domaine de Corbeville, 91404 Orsay Cedex, France
[+] Faculté des Sciences et des Techniques de Nantes, Groupe de Physique des Solides pour lElectronique
2, rue de la Houssinière BP 92208 Nantes cedex 03, France. E-mail : tanguy@physique.univ-nantes.fr.
Abstract : We have developed a modelisation of the Yb:Er glass laser system for pulsed regime. The model is first validated in CW regime with a good agreement with experimental values. The agreement in Q-switch mode is only qualitative. Nevertheless, tendencies are outlined due to the particular dynamical behavior of a codoped system. Especially we pointed out the possibility of achieving Q-switch operation with pulse repetition frequency greater than the spontaneous de-excitation rate of the erbium upper level without output laser pulse characteristic degradation. In other hand, gain-switch operation is not well suited for such codoped systems.
1 Introduction
2 Theoretical description
2.1 Atomic evolution
2.2 Photonic evolution
2.2.1 Beam description
2.2.2 Equation of evolution.
2.2.3 Laser output power relation
2.3 Global equations
3 Continuous wave analysis
3.1 Numerical analysis
3.2 Numerical versus experimental
results
3.2.1 Optical pumping by Ti:Al2O3
laser
3.2.2 Optical pumping by a pigtailed
laser diode
4 Dynamic analysis
4.1
Evaluation of the "energy migration time" from ytterbium to erbium
4.1.1 Ytterbium evolution
4.1.2 Erbium evolution
4.2 Q-switch operation
4.3 Gain-switch operation
4.4 Comparison with
experimental results in Q-switch operation
5 Conclusion
The erbium glass laser is very attractive, mainly due to its emission wavelength located in the "eye-safe" region [1], in the optical telecommunication window [2], and in a transmission window of the atmosphere. The erbium emission around 1.5 µm has already been demonstrated in the 60s but these lasers operated only at low temperature due to their 3 level scheme and the use of lamp pumping [3]. But the energy transfer from ytterbium to erbium ions, the realization of codoped matrices [4], and the room temperature operation of high power laser diode emitting at 980 nm make erbium laser very attractive.
The aim of our research is to investigate the dynamical behavior of such a codoped laser, especially in Q-switched and gain-switched mode. For that reason, we have developed a model which is similar to other ones [5][6][7], but none of them have investigated these two switched mode.
The model is based on space dependent rate-equations analysis in which the spatial variations of both the pump beam and the laser beam are taken into account. The model is first validated in CW regime with a good agreement with experimental values. In dynamic resolution, we demonstrate that optimal Q-switch and gain-switch operations are quite difficult to achieve and are very different in this codoped system than in a laser singly doped
In this paragraph, we establish the rate equations governing the different level populations and the photon number in the laser cavity.
The numerical values used in this paragraph are reported in Appendix A.
The pump radiation is absorbed by ytterbium ions (see Figure 1) which have only two levels. Subsequently, the energy is transferred to the erbium level 4I11/2. The back transfer (from erbium to ytterbium) is also possible. The erbium ions which are in the energy level 4I11/2 are de-excited to level 4I13/2 or 4I15/2. The laser transition takes place between the 4I13/2 and the fundamental levels. This laser is a three level one.

Figure 1
: Simplified energy-level diagram of the erbium-ytterbium system.For simplification, we assume that the emission cross section and the absorption cross section of the laser line are equal. Actually, this fact is true only near the transition peak of the Er ion (1.53 µm). But its confirmed by our experimental results : the emission wavelength was always near that peak value.
We also neglect any up-conversion (UC) effects for the following reason :
It is commonly admitted (see for example []) that the main UC
process is due to Er-Er cross relaxation : 2 Er ions in the metastable state 4I13/2
interact leading to one in the ground state 4I15/2 and the
second in the excited state 4I9/2 (above 4I11/2).
The latter then relaxes in a non radiative way back to the metastable state 4I15/2.
Therefore, UC is modeled by a relaxation term quadratic in the concentration of the
metastable state (
). In our case, C @ 10-24
m3s-1 (phosphate glasses). Totally excited ions should lead to a UC
relaxation rate at least ten times lower than the spontaneous emission rate (1/t 21).
The system is described by the following parameters :
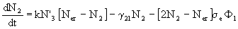
On the basis of the level scheme (see Figure 1), the following space dependent equations for the Er and Yb population densities can be written [8]:
|
(1) |
|
(2) |
|
(3) |
|
(4) |
|
(5) |
This system of equations can be simplified with the following assumptions :
Thus, the atomic evolution is described by the following equations :
|
(6) |
|
(7) |
In this paragraph, we describe the spatial and temporal properties of the laser beam and the pump beam. We make the following assumptions : (i) the laser oscillates in only one cavity mode, (ii) the cavity is linear, (iii) the laser flux is almost constant in the cavity because gain and losses are small (few % in our case).
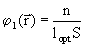
The photon flux F is equal to the product of the photon density Y in the cavity by the optical wave velocity in the medium :
|
(8) |
where n is the optical index of the medium and c0 is the light velocity.
As a consequence of the third assumption, the intracavity intensity is a weak function of z. Thus, the photon number density can be written as :
|
(9) |
where N(t) is the photon number and
is the spatial density for one photon in the cavity that is defined by :
|
(10) |
Finally, we obtain :
|
(11) |
Expression of
, both for the laser and
pump beam, are presented in Appendix B and C respectively.
In the laser cavity, the laser photon number variation is the photon number created by stimulated emission minus the loss per unit time. The total photon number created by stimulated emission by time unit in the cavity volume V is :
leading to the evolution equation :
|
(12) |
where NL is the photon number in the cavity.
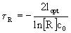
t cav depends on the cavity losses and the cavity optical length by the relation :
|
(13) |
where lopt is the optical cavity length, R is the output mirror reflection and p is the intrinsic losses per round trip.
It is obvious that if at t=0, NL=0, the equation (12) leads to NL(t)=0 at any time t. Actually, we have neglected the spontaneous emission in the laser mode which do act as a photon injection allowing the induced emission ignition. This phenomena can be taken into account simply by considering that the initial photon number is non null (i.e. Nl(0)=1).
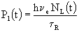
2.2.3 Laser output power relation
The output photon number per time unit is
where
represent the part
of
only related to the output mirror transmission :
. The output power is thus :
where
is the energy of one photon and we obtain the relation :
|
(14) |
Thus, the laser is described by the three equations :
|
(15) |
|
(16) |
|
(17) |
In this paragraph, we calculate the continuous wave laser output evolution and compare it with experimental results. All the numerical calculations are performed with gaussian shape beams except in § 3.1 below where it is compared with the uniform distribution.
In continuous operation, the atomic evolution becomes :
From equation (15), |
(18) |
|
(19) |
The resolution of equations (18) and (19) leads to a relation between N2 and NL as presented in Appendix D.
These equations are numerically solved :
we fix the output laser power Pl and an arbitrary value of the pump power Pp is chosen. In that conditions if the calculated gain is greater than calculated losses, Pp value is decreased. And the other case Pp value is increased. The calculus then converge to the correct pump value. This operation is repeated for different Pl values to plot the pump laser versus pump power graph.
We can verify these equations for certain limit conditions :
if we assume that the Yb3+ 2F5/2 and Er3+ 4I13/2
have infinite lifetimes (
and
), then
equation (19) leads to :
: one absorbed pump photon creates one
laser photon by stimulated emission, because there is no longer atomic relaxation.
Considering a uniform spatial distribution for the pump and the laser beam (see Appendixes B and C) the threshold power in that case is zero
and the efficiency is :
. If there is no other losses than the
output mirror loss (
) and if the active material is long enough to
absorb all the incident pump power (
), the laser efficiency is the
quantum efficiency :
as expected.
We can also evaluate the maximum efficiency and the threshold power of the laser with a real material and gaussian beams (parameters given in Appendix A). In that case, the input/output relation is linear up to 2 W pumping power (see Figure 2). The 40 W maximum pump power presented in Figure 2 is actually irrelevant as the assumption of §2.1 on the Yb3+ depletion failed and as we can expect a fracture of the laser glass at such a high pumping density.

Figure 2 : Laser power versus pomp power for uniform and
gaussian beams
no losses R=99% - wl=wp=100µm.
3.2 Numerical versus experimental results
Two different pump sources are investigated : a Ti:Al2O3 laser and a pigtailed laser diode. With the first experiment, the intracavity losses (p) and the energy transfer coefficient (k) are adjusted to fit the numerical calculation with the experimental results. These parameter values are then used for the second experiment comparison with no more adjustment.
3.2.1 Optical pumping by Ti:Al2O3 laser
A 2 mm long by a 10 mm diameter Yb:Er:glass disc (Kigre QX/Er) is optically pumped by a Ti:Al2O3 laser. One face of the disc is HR coated at 1.54 µm and AR coated at 980 nm. The other face is AR coated at 1.54 µm. The resonator design is a plano-plano cavity with an output mirror of 99%. The Ti:Al2O3 laser beam is focused with a 200 mm focal length lens (wp=104 µm) and is considered to be collimated in the active material (Rayleigh range=3.5 cm).
The values of the parameters used are presented in Appendix A. We have adjusted k and estimated p (the only parameters not measured) to obtain a good agreement with experimental results. The Figure 3 presents the best fit between experimental and theoretical results. Because of the low gain, this model is very sensible to the variation of p and k, and we have taken the values of this parameters for which the theoretical results are closest to the experimental results.

Figure 3 : Laser power versus pomp power for experimental and theoretical pumping by a Ti:Al2O3 laser.
3.2.2 Optical pumping by a pigtailed laser diode
With the laser diode pumping the FWHM emission width is greater than that of the absorption transition. So, we have measured the effective absorption and divided it by the Yb3+ concentration to obtain an effective absorption cross section.
The cavity scheme is the same that for Ti:Al2O3 pumping except that the end of the fiber (125 µm in core diameter and 0.48 in Numerical Aperture) is focused in the active material with a magnification of 2.
We have used the same cavity and the same laser material as in the Ti:Al2O3 pumping scheme thus, same parameters have been used, excepted for the description of the pump beam and for its absorption. The pump beam is described as a gaussian transverse distribution with a waist wp and a divergence Q (see Figure 4).

Figure 4 : Pump beam scheme.
The parameters used are given in Appendix A. The Figure 5 presents the laser power versus the pump power for experimental and theoretical results. For more than 500 mW pump power, the experimental curve does not stay linear. In fact, we have measured the absorption coefficient for all points and it decreases when the pump power increases. The results based on the model are close to the experimental results for pump power less than 500 mW.

Figure 5 : Laser power versus pomp power for experimental and theoretical pumping by a pigtailed laser diode.
In this section, we study the dynamical evolution of the laser, both in Q-Switch and Gain-Switch operation.
All the numerical calculations are performed with the uniform distribution (see Appendixes B and C). Equation (12) becomes :
|
(20) |
We solve these equations by the Range-Kutta method : with a
time increment small enough, we can write:
. The function x(t) can
be calculated step by step (
the cavity round trip time).
4.1 Evaluation of the "energy migration time" from ytterbium to erbium
One interesting parameter for the dynamical behavior of the laser is the characteristic time (Ter) to achieve the metastable state population saturation. We can think about it also as the "energy migration time" from Yb to Er. An estimation of Ter can be made following two steps : First we consider the evolution of the upper level of the Yb ions (N3) without energy transfer to Er ions, leading to an estimation of the N3 value achievable in standard case. Secondly, we consider the evolution of the metastable level of the Er ion (N2) assuming a constant N3 population value and no laser action.
Under continuous pumping and Ner=0, the evolution is exponential :
with
and the
rise time
.
A 1W pump power on an equivalent area for a gaussian waist of
100µm (F p=7.1025.m-2.s-1)
leads to
and a rise time Tyb=920
µs. We can also point out that the Yb3+ ground state population is depleted
less than 10%.
The
evolution with constant N3
value and without laser action is evaluated. To know the filling time of the Er3+
4I13/2 level (N2), we consider the ytterbium ion (N3)
as a constant energy tank (the level N3 is not depleted by the energy
transfer). In this case equation (16) leads to an exponential solution :
with
and the rise
time
.
If
>10-4, we find
with a rise time
.
If
>10-3 we have
, the asymptotical value
is Ner and
the rise time Ter is
. Due to the strong absorption of
the ytterbium, such a value for N3 is easy to achieve (
Pp>15 W/cm2) and thus it is easy to achieve a
totally inverted laser transition.
As represented in Figure 6, the filling time of the Er3+
4I13/2 level vary drastically with the population of the Yb3+
2F5/2 level. In our case, the asymptotical value (Er3+ 4I13/2
level population) is always Ner. This fact is due to the large ratio between Nyb
and Ner (
).

Figure 6 : Population rise time t er versus population of the Yb3+ 2F5/2 level.
The dynamical behavior of such a laser in Q-switch operation is investigated. The calculation is performed with the uniform distribution for the laser and the pump beams. The material is excited during 8 ms with a 1W pump power and without laser action (the cavity is blocked). The cavity is instantly switch on and the excitation is turned off.
A first laser pulse is obtained which is typical of classical
Q-switched laser operation (Figure 7a). But energy stored on ytterbium ions excites the
erbium ions, again leading to a succession of pulses (Figure 7b). In fact, this is because
the pumping of the Er3+ ions was not stopped when the pumping of the Yb3+
one is finished. Due to the large ratio between populations (
),
ytterbium acts as a constant pump for erbium [9]. These oscillations corresponds to the
classical relaxation oscillation leading to a pseudo free-running mode (Figure 7c).
Finally, as the Yb pumping is, in fact, stopped, the energy tank (N3) is
emptied with a time constant t (
) where
is the threshold population of the Er3+ ground state.
This behavior was already used to evaluate the energy transfer coefficient [10]. An
exponential decrease is obtained for N3 and Pl (Figure 7d)
until N3 is too low to obtain N2=N2(threshold) and
the laser stops. After that, N3 decreases at the rate (
) but it is no longer constant as N2 decrease. The fact that
the energy is mainly stored on the ytterbium ions leads to a very poor restitution of this
energy in a single laser pulse. So an efficient transfer from the pump energy to the laser
pulse needs an optimization of the ratio
.

Figure 7 : Temporal evolution of the peak power and population of Yb3+ 2F5/2 level and Er3+ 4I13/2 level (time scales are different in the different graphs).
On an other hand, our case is interesting for high pulse
repetition frequency Q-switch lasers. Indeed, in continuous pumping we can achieve a pulse
repetition frequency much higher than
with
no output laser pulse degradation (see Figure 8).

Figure 8 : Output peak power and pulse width versus Q-switch repetition rate.
After the Q-switch pulse, the population N2 is lower than threshold; N2 would have to be the same as that before the first pulse to obtain a second Q-switch pulse with the same characteristics. The increase of N2 is due to the energy transfer from ytterbium to erbium. This transfer decreases the ytterbium population and must be compensated by pumping before the appearance of another Q-switch pulse. Thus the maximum repetition rate is given by the energy transfer rate and the pumping rate and not by the erbium lifetime.
In the same way, single pulse gain-switch operation is also difficult to achieve because, if the pump is switched off after the laser pulse, the remaining energy stored in Yb3+ leads again to other pulses. It is possible to decrease the pump pulse width and/or pump power to obtain a small enough ytterbium population so that, after the energy transfer, the ytterbium upper level population would be small enough to prevent another pulse. This would imply an energy transfer time to obtain population inversion very long (proportional to the ytterbium upper level population) and large output pulse width with low repetition rate would be obtained. So, gain-switch operation is out of interest in that case (Ner<<Nyb). It could be interesting if Ner» Nyb, but in that case, the interest of codoping fails.
4.4 Comparison with experimental results in Q-switch operation
The CW laser presented in § 3.2.2 has been Q-switched by
insertion of a mechanical chopper in the cavity (see ref [11] for more details). We have
modeled the temporal variation of the intracavity losses due to the chopper as a gaussian
beam cut-off by a disc with slits rotating at a constant frequency :
with f = 133 Hz (rotation frequency), r = 6 cm (radius), e = 500 µm
(slit width) and wl the intracavity waist of the laser beam.
The values of the parameters are the same in § 3.2.2, with a 1 W pump power. The cavity losses p have been adjusted (the losses introduced by the chopper are not negligible in comparison to the cavity losses). The value p=1% corresponds to the best compromise between peak power and pulse width. Nevertheless, the peak power and the pulse width of the first pulse are relatively different (40 % and 30 %, respectively) and the second pulse is experimentally about 3.3 µs after the first and theoretically about 6.2 µs after the first. In comparison, the experimental output energy is very well fitted by theoretical ones (see Figure 9). These differences between experimental and theoretical results are probably due to the approximation of the temporal variation of the losses and also to the approximation of the beam shape (uniform model). Nevertheless, the order of magnitude of the peak power and the pulse width is good and the model provides a quite accurate estimate of the energy delivered by the laser.
Peak power (W) |
Pulse width (ns) |
Energy (µJ) |
|
Experimental results |
120 |
35 |
4,2 |
Theoretical results |
170 |
25 |
4,25 |

Figure 9 : Temporal profiles of experimental and theoretical pulses.
We have developed a modelisation of the Yb:Er glass laser system. This model is in good agreement with experimental results in steady state, both in Ti:Al2O3 pumping and fiber coupled laser diode pumping. The agreement in Q-switch mode is only qualitative. Nevertheless, tendencies are outlined due to the particular dynamical behavior of a codoped system. Especially we pointed out the possibility of achieving Q-switch operation with pulse repetition frequency greater than the spontaneous de-excitation rate of the erbium upper level without output laser pulse degradation. In other hand, gain-switch operation is not well suited for such codoped systems.
In this appendix, we give the parameters used for the different simulations.
Common parameters
g 21=113.6 s-1 (measured) Ner=1,4.1025 m-3 (measured)
materials index n=1,5 k=7,1.10-21 m3s-1 (adjusted)
c0=3.108 ms-1 s e=7.10-25 m2 (measured)
g yb=1000 s-1 (measured) s p=1,3.10-24 m2 (measured)
Nyb=1,6 1027 m-3 (measured).
Material length la=2 mm
Air length lair=2mm
wp=104 µm (measured)
wl=88 µm (measured)
R=99 %
P=0,5 % (adjusted)
Specific parameters used in §3.1
Air length lair=0
wp=wl=100 µm
P=0
Specific parameters used in §3.2.2 and §4.4
s p=6.10-25 m2
wp=110 µm
wl=80 µm
Q =16°
The shape of laser beam is formalized for the numerical
resolution. Two spatial distribution of the laser flux
are
considered. A uniform one for the sake of simplicity and a gaussian one more realistic but
more TPU consuming. The axe z is in the direction of the propagation and x and y are
perpendicular each other and perpendicular to z.
In this case, we consider a top hat distribution of the laser beam and that the active material fills all the cavity:
![]()
where n is the active material index, lopt is the optical cavity length (lopt=n.la, la : active material length) and S the area of the laser beam.
In the case of gaussian shape, we consider that the cavity can be constituted by several materials :

where lopt is the optical cavity length and wl the waist of the gaussian beam. The index of refraction n(z) can vary only along the optical cavity axis.
Appendix C : Pump beam flux shape
The shape of the pump beam flux (
) is
formalized for the numerical resolution. As for the laser beam description, we consider
two cases.
The input pump beam is top hat shaped and matched the laser beam. There is no reflecting surfaces (e.g. output mirror). We assume that absorbed pump energy is averaged on the whole considered volume.
The photon number absorbed per unit time in the active
material is :
where n p is
the frequency of the pump wave, leading to :
where S and la are the same parameters as defined in Appendix B.
The output face of the laser material presents a non null reflectivity at the pump wavelength (Rp). So we have to consider both the incident pump power and the unabsorbed reflected one.
Let us define
, a one photon spatial
density for a pump beam with a lateral gaussian shape :

where wp is the pump beam waist, a the pump absorption coefficient and la is the active material length. Thus, one can write the pump photon flux as :
![]()
Appendix D : Analytical solution
The analytical solution of the equation set (18-19) for the population N2 is presented.

With :
,
and

[1] "Safety with lasers and other optical sources", D.
Sliney, M. Wolbarsht, Plenum press , New York, 1980, p. 145.
[2] "Les télécommunications par fibres optiques", Irène and Michel Joindot,
Dunod, 1996, Chap 1.
[3] "Advances in Quantum Electronics", Z.J. Kiss, R.C. Duncan, ed. By J. R.
Singer (Columbia Univ. Press, New York, 1961), p 164.
[4] "Yb3+-Er3+ glass laser", E. Snitzer, R. Woodcock,
Appl. Phys. Lett., vol 6, n° 3, pp 45-46, 1965.
[5] "Diode-pumped bulk erbium-ytterbium lasers", S. Taccheo et al., Appl. Phys.
B, 63, pp 425,-436, 1996.
[6] "Modeling and optimization of short Yb3+-sensitized Er3+-
doped fiber amplifiers", J. Nilsson et al., IEEE Photon. Techn. Letters, Vol 6, n°
3, pp 383-385, 1994.
[7] "Analysis and modelling of the erbium-ytterbium glass laser", P. Laporta, S.
Longhi, S. Taccheo and O. Svelto, Optics Comm., 100, pp 311-321, 1993.
[8] "Lasers", A.E. Siegman, University Science Books, 1986, p 211.
[9] "Effects of Yb:Er-codoping on suppressing self-pulsing in Er-doped fiber
lasers", Ming Ding and Peter K. Cheo., IEEE Photon. Techn. Letters, Vol. 9, n° 3, pp
324-326, 1994.
[10] "High energy erbium laser end-pumped by a laser diode bar array coupled to a
nonimaging optic concentrator", E. Tanguy , G. Feugnet, JP. Pocholle, R. Blondeau,
MA. Poisson and JP. Duchemin, Optics Communications, Volume 145, pp 105-108 (1 January
1998).
[11] "Mechanically Q-switched codoped Er-Yb glass laser under Ti:sapphire and laser
diode pumping",E. Tanguy, J.P. Pocholle, G. Feugnet, C. Larat, M. Schwarz, A. Brun
and P. Georges, Electronics Letters, 1995, Vol 31 N° 6, pp 458-459.