Table des matières
Joindre l'auteur

Exercices sur les équations d'état

1 - Soient deux ballons B1 et B2 .
B1 , de volume  , contient du dioxyde de carbone sous la pression .
B2 , de volume  , contient du dioxygène sous la pression .
1) Dans tout l’exercice, les deux gaz seront considérés comme parfaits. Expliquer ce propos.

La température est  . On relie B1 et B2 par un tube très fin.
2) L’équilibre étant établi, la température étant toujours 0 °C , calculer les pressions partielles  de dioxyde de carbone et  de dioxygène dans le mélange.
3) Quelle est la pression totale  et quelle est la masse volumique  du mélange ?
4) On porte la température de l’ensemble de 0 °C à 15 °C . La dilatation des ballons étant négligeable, que deviennent la pression totale et la masse volumique du mélange ?
Application numérique

| Méthodologie | Réponse 1 | Réponse 2 | Réponse 3 | Réponse 4 |

2 - La température de Mariotte est la température pour laquelle le comportement d’un gaz réel se rapproche au mieux du comportement du " gaz parfait ".
L’équation d’état d’un gaz parfait s’écrit . On calcule la température de Mariotte en développant, à partir de l’équation d’état du gaz réel considéré, la quantité  suivant les puissances croissantes de .

Trouver la température de Mariotte pour :

- l’équation d’état de Van der Waals 

- celle de Berthelot 

- celle de Diétérici 

| Méthodologie | Réponse 1 | Réponse 2 | Réponse 3 |

------------------------------------------------------------------------------------------

Méthodologie commune aux exercices ci-après

3 - Coefficients thermoélastiques

Calculer les coefficients thermoélastiques :

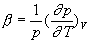
coefficient de dilatation à pression constante

coefficient d’augmentation de pression à volume constant

coefficient de compressibilité isotherme

1) pour le gaz parfait

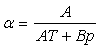
2) pour le gaz d’équation d’état 

3) pour le gaz de Van der Waals d’équation d’état 

| Réponse 1 | Réponse 2 | Réponse 3 |

4 - Pression p, température T et volume V représentent les variables d’état du système étudié. Elles sont reliées par une équation d’état .
1) Trouver la relation liant les coefficients thermoélastiques, c’est à dire le coefficient de dilatation à pression constante , le coefficient d’augmentation de pression à volume constant et le coefficient de compressibilité isotherme
2) Calculer l’accroissement de pression subi par une masse donnée de mercure lorsqu’on la chauffe de 0 °C à 1 °C à volume constant en supposant indépendant de T.
Application numérique :
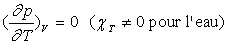
3) Montrer que la température du maximum de densité de l’eau sous pression donnée est celle pour laquelle

| Réponse 1) | Réponse 2) | Réponse 3) |

5 - Soit un fil élastique de longueur " au repos " à la température . Lorsqu’on exerce sur ce fil une traction F, l’expérience montre que la longueur change et devient L et que la température T varie.
1) Justifier la relation .
2) On définit le coefficient de dilatation linéaire à force constante par et le module d’Young par s est la section du fil.
Exprimer et dF.
3) Pour la substance parfaitement élastique constituant le fil, l’équation d’état s’écrit A est une constante.
Calculer E et (valeur de E à traction nulle).
Calculer et (valeur de à traction nulle)

| Réponse 1) | Réponse 2) | Réponse 3) |

6 - Le coefficient de dilatation à pression constante d’une substance est ; son coefficient de compressibilité isotherme est a et b sont des constantes.
Trouver l’équation d’état de la substance.

| Réponse |

7 - Un gaz obéit à l’équation de Van der Waals
1) Calculer son coefficient de compressibilité isotherme , son coefficient de dilatation à pression constante et son coefficient d’augmentation de pression à volume constant.
2) Des mesures ont montré que, pour un gaz réel, les coefficients de dilatation à pression constante et de compressibilité isotherme peuvent s’écrire :

;

A et B sont des constantes. En déduire l’équation d’état. Comparer à celle de Van der Waals.

| Réponse 1) | Réponse 2) |