A)
1) La loi de l'hydrostatique peut être écrite
: ![]()
Si
, alors
:
la pression est uniforme, indépendante de l'altitude dans le fluide.
La poussée d'Archimède est la résultante des forces de
pression sur la surface fermée
délimitant un volume V de matière dans le fluide.
si la pression
est uniforme (équivalent à si la masse volumique du fluide est
négligeable.
Dans la formule de la poussée d'Archimède le vecteur unitaire
normal à un élément de surface est orienté vers
l'extérieur de la surface fermée.
2)a) La pression
est uniforme, la masse volumique de l'air est négligée.
; ![]()
Soit, ![]()
2)b)
|
|
|
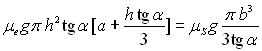
2)c)

![]()
ð 
La Mécanique (Statique) permet d'écrire la condition
d'équilibre :
,
soit la proposition à démontrer 