B)1)a)
En une heure, 120 km sont parcourus, soit une consommation de
identique à ![]()
B)1)b)
3200 tours/mn du vilebrequin correspond à 1600 cycles/mn
soit 96000 cycles/h.
La quantité d'essence (exprimée en kilogramme) consommée
à chaque cycle sera : ![]()
La quantité de chaleur dégagée à chaque cycle sera
: ![]()
Le flux de chaleur sera : ![]()
B)1)c)
L'air atmosphérique est assimilable à un gaz parfait. On écrit
l'équation d'état du gaz parfait sous la forme :
si
;
et
.
![]()
B)1)d)
Le rendement est le rapport de la puissance motrice produite sur le flux de
chaleur consommée.
![]()
B)2)
![]()
; ![]()
A chaque cycle, le nombre de moles d'air admises remlit le cylindre dans son
volume maximale, ![]()
B)3)a)
Entre A et B, la transformation est adiabatique (
)
réversible (
)
: elle est donc isentropique.
L'air sera considéré comme parfait.
en introduisant la relation de Mayer
et ![]()
On intègre avec
(soit aussi
)
et on obtient : ![]()
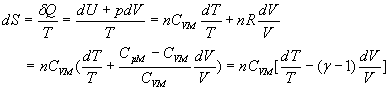
Pour une transformation isentropique
L'air est essentiellement constitué de gaz diatomiques. Aux températures
ordinaires, seuls interviennent les degrés de liberté du mouvement
de translation (3) et du mouvement de rotation (2).
Il suit que
;
; ![]()
ð
![]()
B)3)b)
De B à C, la transformation est isochore :
et ![]()
![]()
B)4)a)
Seules les molécules de dioxygène de l'air interviennent dans
la réaction chimique de combustion.
![]()
Avant combustion :
+ air (suralimentation)
Après combustion :
+
air (suralimentation)
Les molécules qui ne participent pas à la combustion sont, de
loin, les plus nombreuses : le mélange varie peu lors de la combustion.
B)4)b)
De C à D, la transformation est adiabatique réversible.
ð
![]()
B)4)c)
De D à A, la transformation est isochore.
![]()
L'écriture du premier principe pour un cycle permet de calculer le travail.
ð
![]()
Par définition, le rendement thermodynamique sera : ![]()
B)5)a)
La transformation de B à C est isochore.
![]()
Un bilan thermique simple permet de calculer
perdue à l'extérieur.
![]()
B)5)b)
Il convient de calculer la température réellement atteinte en
D, après la détente adiabatique réversible de C à
D.
La quantité de chaleur suivant l'isochore de D à A sera : ![]()
Le travail échangé au cours du cycle devient :
La nouvelle valeur du rendement du moteur est : ![]()
B)5)c)
|
Ce rendement (0,37) reste très supérieur au rendement réel (0,21). En fait, le cycle a été idéalisé, un cycle plus réel étant représenté ci-contre. Ce cycle apparaît comme la somme algébrique des deux aires, l'une comptée négativement et l'autre positivement. |
|
B)5)d)
Le moteur effectue 1600 cycles/mn ð
![]()
La quantité R est appelée résistance thermique.
