Exercices de Physique quantique

![]()

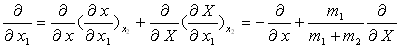
par un calcul identique, on obtient : 
et des relations de formes identiques pour les variables
.
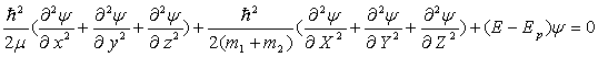
En remplaçant dans l’équation de Schrödinger, on obtient :
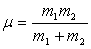
où
est
la masse réduite.
Cette équation de Schrödinger se résout
par séparation des variables : ![]()
avec ![]()
est la fonction d’onde pour une particule de masse réduite
soumise à une interaction
positionnée, par exemple, en
,
dans un référentiel " pseudogaliléen "
d’origine ![]()
est la fonction d’onde pour une particule libre de masse
dans le référentiel barycentrique.