Exercices de Relativité restreinte
Mouvement de particules chargées
7) Mouvement dans un champ magnétique
uniforme et constant

est dans un plan perpendiculaire à
.
Si initialement le vecteur vitesse est dans un plan perpendiculaire à
, alors le vecteur
vitesse reste dans ce plan puisque toute variation du vecteur vitesse se fait
dans ce plan.
|
car |
|
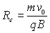
Ainsi,
ð
et
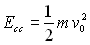
ð
(calcul de dynamique
relativiste)
Le calcul de dynamique classique est de même type, il
suffit de remplacer
.
On obtient ![]()
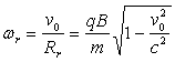
Calcul relativiste :
dépend de
(synchrocyclotron)
Calcul classique :
indépendant de
(cyclotron)
Calcul relativiste : 
Calcul classique :