Notions simples de Mécanique du solide
| Plan
1. Définition d'un solide. Degrés de liberté
|
Les
illustrations et animations de Geneviève Tulloue Angles d'Euler |
1. Définition d’un solide. Degrés de liberté
Un solide est un corps dont les différents points restent à des distances constantes les uns des autres au cours du mouvement.
Un solide pouvant se mouvoir librement a sa position déterminée
par la donnée de six paramètres : la position d’un point
(trois coordonnées) et trois angles qui, dans le cas général,
sont les angles d’Euler et, plus souvent, des angles adaptés au
solide (par exemple pour un bateau, des angles correspondant au changement
de cap, au tangage et au roulis).
On dit que, dans le cas le plus général de mouvement,
le solide possède six degrés de liberté.
Des liaisons peuvent réduire les mouvements possibles et, en
conséquence, diminuer le nombre de degrés de liberté
; ainsi un solide en rotation autour d’un axe fixe a un degré de
liberté.
2. Distribution des vitesses dans un solide
2.1. Mouvements particuliers
Translation : à chaque instant, tous les points d’un solide
ont même vitesse.
quelques soient
A et B appartenant au solide.
![]() |
Rotation autour d’un axe fixe D
: L’intensité de la vitesse du point M appartenant au solide, situé
à la distance En introduisant un vecteur rotation |
Dans cette dernière relation, on remarquera que le point O est quelconque sur l’axe de rotation.
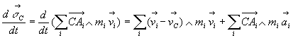
2.2. Mouvement général d’un solide
Soient deux points A et B quelconques d’un solide.
ð
ð
ð
Cette dernière relation est caractéristique d’un torseur
( ensemble d’un champ de moments et d’un vecteur résultant) et le champ
de vitesse est donné par la relation :
Remarques sur la distribution des vitesses dans un solide
En Mécanique du solide, la composition des mouvements prend une
importance particulière, le référentiel relatif a
pour origine un point particulier G que nous définirons comme
étant le centre de masse et les axes Gxyz respecteront
les éventuelles symétries du solide.
![]() |
Le mouvement de tout point A du solide peut être
analysé dans le référentiel Les rôles de ces deux référentiels sont interchangeables en cinématique, cependant dans le cadre de la dynamique
|
Un point A’, coïncidant au temps t avec le point A, fixe dans le
référentiel
a un mouvement, appelé mouvement d’entraînement, dans le
référentiel
ð
La vitesse absolue (dans le référentiel
)
est la somme de la vitesse d’entraînement et de la vitesse relative (dans
le référentiel
)
L’accélération absolue est la somme de l’accélération d’entraînement, de l’accélération relative et d’un terme appelé accélération de Coriolis, résultat d’un couplage entre le mouvement d’entraînement et le mouvement relatif.
Interprétation du terme de Coriolis en termes de champ de
vitesses dans un solide
Si nous remarquons que dans le référentiel
,
les points O, I, J, K sont à distances constantes et peuvent être
considérés comme des points d’un même solide, alors on peut
écrire :
;
;
et
où
représente le vecteur rotation du mouvement d’entraînement (c’est
à dire de
par rapport à
)
Opérations de dérivation
Soit un vecteur quelconque
Le référentiel
de dérivation doit être précisé. Par défaut,
il s ‘agit du référentiel
.
Composition des vitesses angulaires
Soient deux points quelconques A et B du solide pour lesquels
nous écrivons les vitesses absolues, d’entraînement et relatives.
;
;
ð
cette relation nous montre que l’on peut décomposer un mouvement de rotation
en rotations autour d’axes connus.
Ils permettent la " transformation " du référentiel OXYZ
en référentiel Oxyz, parallèle à Gxyz.
![]() |
Les angles On a souvent besoin d’écrire le vecteur rotation Compte tenu des angles d’Euler, ce vecteur peut être écrit Par projection, on montre que : |
4. Eléments cinétiques d’un solide
Un solide peut être constitué par une distribution discrète
de masses ponctuelles ou par une distribution continue de masses. Dans ce dernier
cas, on définit la masse volumique
où dm est la masse contenue dans le volume élémentaire
dV.
La masse du solide est définie par
,
le centre de masse (ou centre d'inerrtie) par
(C point quelconque)
Résultante cinétique :
La résultante cinétique (ou quantité de mouvement total) est égale à la quantité de mouvement qu’aurait le centre de masse affecté de toute la masse.
Moment cinétique :
Il découle, par application directe des définitions, que
relation appelée relation de transfert du torseur entre les points
C et D.
Moment cinétique par rapport à un axe D
Soit
le vecteur
unitaire de l’axe D et E un point de
cet axe.
Par définition, le moment cinétique par rapport l’axe D
est égal à
.
On montre, par application directe des définitions, que ce résultat
est indépendant du point E appartenant à D.
Ainsi, si F est un autre point de D,
:
Résultante dynamique :
Moment dynamique :
Il découle, par application directe des définitions, que
relationde transfert du torseur entre les points C et D.
4.4. Torseur dynamique et torseur cinétique
Il existe des cas où la dérivée du moment cinétique
est égale au moment dynamique :
- C fixe (généralement
)
-
ou
4.5. Energie cinétique
4.6.1 Référentiel barycentrique
On appelle référentiel barycentrique
un référentiel d’origine le centre de masse G en translation
par rapport au référentiel
Par suite,
où
.
De même,
Par définition du centre de masse
ð
La résultante cinétique est nulle dans le référentiel barycentrique.
4.6.2. Premier théorème de Koenig
où
(démonstration : application directe des définitions)
Le moment cinétique d’un solide est égal à la somme du moment cinétique du centre de masse affecté de toute la masse du solide et du moment cinétique du solide par rapport au centre de masse évalué dans le référentiel barycentrique.
4.6.3. Deuxième théorème de Koenig
(démonstration
: application directe des définitions)
L’énergie cinétique d’un solide est égale à la somme de l’énergie cinétique du centre de masse affecté de toute la masse du solide et de l’énergie cinétique du solide correspondant à son mouvement dans le référentiel barycentrique.
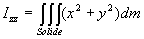
4.7. Cas particulier du solide en mouvement autour d’un axe fixe D
4.7.1. Moment cinétique par rapport à l’axe D
Soit
le vecteur
unitaire de l’axe D, O un point de
l’axe et A un point quelconque du solide.
où
est la distance de A à l’axe D.
est appelé
le moment d’inertie du solide par rapport à l’axe D.
| 4.7.2. Théorème
d’Huygens
|
Par le centre de masse G, on trace un
axe parallèle à D.
H et H’ sont les intersections des deux axes avec un plan perpendiculaire à ces axes passant par A.
|
Le calcul des moments d’inertie pour des barres, des cylindres ou
des sphères est à connaître. Le lecteur doit savoir
démontrer que les moments d’inertie :
- d’une tige homogène de longueur l, de masse m, de section négligeable,
par rapport à un axe perpendiculaire à la direction de la tige
passant par son centre de masse
- d’un cylindre plein homogène, de rayon R, de masse m, par rapport
à son axe de révolution
- d’une sphère pleine homogène, de rayon R, de masse m, par
rapport à un diamètre
4.7.3. Moment dynamique par rapport à l’axe D
et
Par suite,
4.7.4. Energie cinétique
4.8. Solide en rotation autour d’un point fixe O (ou mouvement du solide dans le référentiel barycentrique, G = O). Opérateur d’inertie.
4.8.1. Moment cinétique par rapport en O
Soit A un point quelconque du solide.
Si dans la base cartésienne habituelle, on écrit :
;
;
on obtient
,
et
avec
;
;
;
;
Ces relations peuvent être écrites sous forme matricielle.
soit aussi
4.8.2. Tenseur d’inertie
La matrice
fait correspondre à tout vecteur
un vecteur
et ceci indépendamment du repère choisi. Cette matrice possède
un caractère géométrique intrinsèque qui implique
des propriétés bien particulières de transformation des
ses coefficients (symétriques par rapport à la diagonale) vis
à vis d’un changement de repère.
C’est pourquoi, on donne à
le nom de tenseur d’inertie. Il est appelé tenseur central d’inertie
si le point O coïncide avec le centre de masse G.
| Nous pouvons appliquer les propriétés du calcul matriciel, en particulier la diagonalisation dans les directions propres de la matrice appelées, par définition, axes principaux du solide. | ![]() |
Le tenseur est alors appelé tenseur principal d’inertie et tenseur
central principal d’inertie si le point O coïncide avec le centre
de masse G.
Dans un certain nombre de problèmes simples, les axes principaux
sont facilement repérables par l’étude des symétries
du solide.
Exemples
| Tenseur central principal pour un cylindre homogène
de masse m, de rayon R, de hauteur h, d’axe de révolution
autour de l’axe Gz.
|
Tenseur principal pour un cône homogène
de masse m, de rayon à la base R, de hauteur h,
de sommet O, de révolution autour de l’axe Oz.
|
| Tenseur central principal pour une sphère
homogène de masse m, de rayon R.
|
Tenseur central principal pour un ellipsoïde
homogène de masse m (
|
Sous forme matricielle, ce résultat peut être écrit :
où la matrice uniligne
est la matrice transposée de la matrice unicolonne
.
4.8.4. Moment dynamique. Energie cinétique
si O est fixe ou
se confond avec le centre de masse G.
Soit
un référentiel
d’origine O lié au solide et dont les axes coïncident avec les axes
principaux. On appelle
les vecteurs unitaires de ces axes.
La vitesse angulaire du référentiel
dans le référentiel absolu
se confond avec la vitesse angulaire du mouvement d’entraînement ð
4.8.5. Calcul du moment d’inertie par rapport à un axe quelconque. Calcul des produits d’inertie.
Soit
la matrice
rotation associée au changement de repère ð
et
ð
5. Forces s’exerçant sur un solide
Outre les forces de champ (pesanteur, gravitation, électrostatique),
interviendront les forces dues aux liaisons qui limitent les possibilités
de mouvement du solide. Ces forces constituent l’ensemble des forces
extérieures qui s’exercent sur le solide.
A ces forces, il convient d’ajouter les forces intérieures
qui assurent la cohésion du solide.
5.1. Champ de pesanteur uniforme
Le poids sera défini par
Moment des forces de pesanteur
5.2. Liaison par contact direct entre deux solides
![]() |
Soit I le point de contact, à l’instant
t, entre les deux solides notés On définit Le lecteur pourra considérer que Le mouvement de |
de pivotement (rotation autour de l’axe normal N de vecteur unitaire
).
On appelle vitesse de glissement, le vecteur
.
En absence de glissement,
.
Le roulement sans glissement est un cas courant très important
où cette condition s’applique.
Lois du frottement de Coulomb
A cause de l’impénétrabilité des solides, le solide
exerce sur le solide
une force
(évidemment la réciproque est vraie, les deux forces obéissant
au principe de l'action et de la réaction).
Les aspérités (rugosité des états de surface des
solides) empêchent les mouvements relatifs.
D’une manière générale, les effets des forces qui s’opposent
au roulement ou au pivotement sont faibles devant les effets des forces qui
s’opposent au glissement et nous n’étudierons que ces dernières.
Le solide
exerce
sur le solide
une force
qui s’oppose au glissement.
Si
, alors
où f est le coefficient de frottement qui dépend
en particulier de l’état des surfaces en contact.
Si
, alors
Généralement on prend
même si, dans la réalité
est supérieur à f.
est l’ensemble
des réactions en I sur
.
Bien sur,
sera l’ensemble des réactions en I sur
.
Travail des forces de frottement
Le travail des forces de frottement est négatif ou nul. Il se
traduit par des pertes d’énergie mécanique.
Le cas du roulement sans glissement correspond à un travail des forces
de frottement nul.
6. Dynamique du solide
Les forces extérieures sur un élément i sont notés
,
celles intérieures
(l’indice j signifie que cette force est due à un élément
interne j).
On se place dans un référentiel galiléen d’origine
O noté
.
Remarque : pour une meilleure clarté de la présentation
sur les forces intérieures, nous utilisons la notation
plutôt
que la notation
.
6.1. Théorèmes généraux de la dynamique du solide (ou principe de la dynamique du solide)
Résultante dynamique
est la résultante
des forces extérieures, nous la noterons
Moment dynamique
en faisant attention
de ne compter qu’une seule fois les termes de la double sommation.
Il y a deux points de vue :
et au théorème du moment dynamique Remarques :
Nous avons vu en 4.4. que 
Cette relation appliquée en
ou
est facile
d’emploi puisque
ou
[en notant que
ð
]
6.2. Le théorème de l’énergie cinétique

fait
apparaître des termes
puisque la distance de deux points quelconques d’un solide est constante.
Ainsi,
où
est
le travail élémentaire des forces extérieures.
Soit, après intégration,
(travail des forces extérieures)
Ce résultat constitue le " théorème " de l’énergie cinétique pour un solide.
6.3. Remarque sur la conservation de l’énergie mécanique
Comme nous l’avons fait en dynamique du point, on peut séparer
les forces extérieures en forces conservatives qui dérivent d’une
énergie potentielle et en forces non conservatives.
On obtient
.
Les forces non conservatives sont les forces d’opérateur extérieur
ou les forces de frottement.
Le travail des forces de frottement est nul :
C’est un résultat important, car en l’absence de forces d’opérateur extérieur, l’énergie mécanique se conserve. Son écriture fournit directement une intégrale première du mouvement et permet, généralement de se passer du théorème du moment dynamique
6.4. Ecriture générale du travail des forces extérieures
![]()
![]()