ð
(la constante d'intégration est arbitrairement pris nulle puisque l'énergie
potentielle est définie à une constante additive près)
![]()
![]()
b)

ð
ð ![]()
![]()
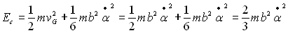
A partir de l'équation de l'énergie, on obtient
:
et ![]()
![]()
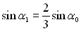
Lorsque la barre quitte le mur,
ð ![]()