G) Collision de particules (mécanique classique)
1)1)
où les U représentent les énergies internes des
particules.

En retranchant les deux expressions de la conservation de l'énergie
et en tenant compte de la conservation de la masse, on obtient :
qui est l'expression de la conservation de la quantité de mouvement.
1)2) La conservation de l'énergie cinétique
(choc élastique)
est obtenue s'il y a conservation de l'énergie interne
.
En fait, il faut comprendre qu'après le choc, les particules
sont conservées dans leur structure interne et leurs vitesses sont respectivement
et
.
![]()
1)3)
|
|
La conservation de la quantité de mouvement s'écrit
: On projette cette relation vectorielle sur les axes x, y.
|
Après le choc, les particules sont conservées
dans leur structure interne, le choc est élastique et il y a conservation
de l'énergie cinétique.
![]()
Les équations (1) et (2) permettent d'écrire
:
![]()
En remplaçant dans (3), on obtient : 
Soit ![]()
La résolution de cette équation du second degré
en
donne : 
Cas 1 : l > 1
ð
ð
(compte tenu de la symétrie de révolution)
Cas 2 : l < 1
ð
toujours vérifiéð q
peut prendre toute valeur entre 0 et p.
Choc droit avec l < 1 :
deux possibilités
ou ![]()
ð ![]()
Le signe + donne
.
Cette solution n'a pas d'intérêt car elle correspond à deux
particules se frôlant (absence de choc)
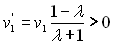
Avec le signe -, on obtient
pas de sens
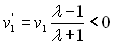
ð ![]()
Le signe + donne
pas de sens
Le signe - donne
qui est une solution possible présentant un intérêt physique.

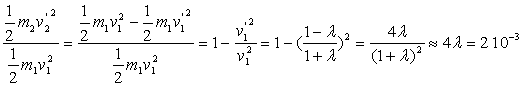
Le transfert d'énergie de l'électron au proton
est égal à :

1)4)
|
|
|
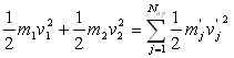
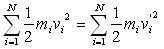
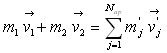
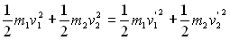
2)
Il y aura conservation de la quantité de mouvement : 
Si les particules après le choc sont identiques et leurs
énergies internes conservées, le choc est élastique et
l'énergie cinétique est conservée.
![]()