La première question fut de savoir où se trouvait l’air chaud et l’air froid dans la salle de classe,. Les réponses furent parfois surprenantes : « l’air chaud se trouve aux pieds, car on est plus proche du centre de la terre où il fait chaud » « près du chauffage » « l’air froid près du sol car le sol est froid », ce qui montre que la réponse était loin d’être évidente pour eux.
Nous avons donc placé un thermomètre au sol puis au plafond de
la salle et relevé la température dans les deux cas; il s’est
avéré que l’air chaud se trouve en haut de la salle.
Les résultats furent probants.
Afin de bien comprendre que l’air chaud monte, nous avons effectué une expérience basée sur les courants marins froids et chauds qui sont similaires aux courants d’air froids et chauds. Nous nous sommes munis de cartouches d’encre, de verre d’eau chaude et froide. Nous avons au préalable placé la cartouche d’encre dans l’eau chaude afin de la réchauffer puis nous l’avons percée et plongée dans le verre d’eau froide (elle fut lestée par un chewing-gum mâché).

Etape 1 : les calculs, choix du matériel.
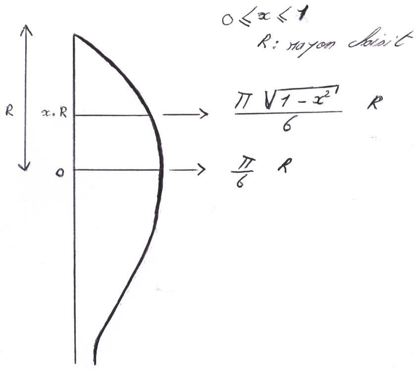
Pour cette étape, nous avons effectué nous même divers calculs
pour construire une montgolfière relativement sphérique. Le schéma
ci-dessous permet de choisir un rayon R pour la montgolfière et d’en
déduire les côtes pour plus de précision. Nous avons prédécoupé
un modèle en carton en ayant choisi un rayon de 50 cm pour faciliter
la tâche des enfants.

Etape 2 : découpage, collage.
Il faut disposer de 5 feuilles de papier de soie pliées en deux, on
découpe selon le modèle ci-dessus puis on passe à la phase
de collage avec de la colle en stick. Une fois les collages terminés,
nous allons construire le dôme de notre montgolfière. On coupe
une partie du haut de la montgolfière et on en profite pour la retrousser
(on ne fait pas apparaître les collages, question d’esthétique),
on découpe un cercle de la taille du trou que l’on vient de faire,
puis on le colle à l’intérieure de la montgolfière
afin de finir le dôme.
découpage:
Collage:
Séchage:

Retroussage:

Etape 3 : Envol.
chauffage:

Chauffage double : afin d’avoir de l’air vraiment chaud, nous avons dû mettre deux sèche-cheveux collés l’un à l’autre

Déploiement de la montgolfière

Envol de la montgolfière : On coupe les sèche-cheveux avant de laisser la montgolfière décoller d’elle-même grâce à la poussée d’Archimède ( il est important que la variation de température entre l’extérieur et l’intérieur de la montgolfière soit la plus grande possible)

