Définitions et lois du rayonnement Thermique
Plan
1. Définitions
1.1. Luminance monochromatique et luminance (totale)
1.2. Intensité monochromatique et intensité (totale)
1.3. Emittance monochromatique et émittance (totale)
2. Les lois régissant l’émission du rayonnement
thermique
2.1. Relation entre luminance et émittance dans le cas
d’une émission diffuse (ou isotrope)
2.2. Le corps noir
2.2.1. Loi de Planck
2.2.2. Approximations de la loi de Planck : lois de Wien
2.2.3. Loi de Stefan-Boltzmann
2.3. Emission des corps réels
3. Réflexion, absorption et transmission du rayonnement
par un corps
3.1. Réalisation d'un corps noir
3.2. Relation entre absorption et émission : loi de Kirchhoff
3.3. Coefficient de transmission
4. Eclairement (irradiance) monochromatique et éclairement (total)
Le soleil qui se situe à une distance considérable
dans le " vide spatial " nous procure une sensation de chaleur. De
même, si nous ouvrons la porte d'un four en fonctionnement, nous percevons
une sensation de chaleur instantanée que nous ne pouvons attribuer
à un transfert convectif du à l'air entre le four et notre peau.
Cet échange de chaleur attribué à l'émission, par
la matière du fait de sa température, d'ondes électromagnétiques
est appelé rayonnement thermique, il ne nécessite pas la
présence d'un milieu intermédiaire matériel.
Le rayonnement thermique est caractérisé par des longueurs d'ondes
comprises entre
,
il inclut le domaine du visible (ondes lumineuses ou lumière de
)
et n'occupe qu'une faible portion du spectre d'ondes électromagnétiques.
Remarque : bien qu'il soit plus avantageux de rapporter les grandeurs
monochromatiques à la fréquence
qui est indépendante du milieu matériel transparent où
l'onde se propage, l'habitude est de se référer à la longueur
d'onde
qui dépend
de l'indice
du
milieu (
où
est la longueur
d’onde dans le vide; pour l'air
).
Cette manière de faire ne présente d'inconvénient majeur
que pour les milieux semi-transparents non homogènes.
1.1. Luminance monochromatique et luminance (totale)
sont des surfaces élémentaires respectivement des surfaces
de deux corps radiants.
représente la distance entre les deux surfaces élémentaires.
Le flux énergétique monochromatique radiant
émis par la surface
en direction de la surface
(direction
, dans
la bande monochromatique [
]
est égale à :
où
est la luminance monochromatique de la surface
et où
est l’angle solide sous lequel est vu, de
,
la surface
.
On obtient la formule fondamentale dite de Bouguer : ![]()
De manière analogue, on définit la luminance
monochromatique émis par la surface
en direction de la surface
.
La quantité
est appelée étendue spatiale élémentaire du faisceau
en Optique, elle est conservée à la traversée des instruments
optiques.
La luminance (totale), dans la direction
,
est définie par
.
Il est commode d’écrire le flux énergétique
monochromatique, dans la direction
sous la forme :
et le flux énergétique (total) sous la forme : ![]()
1.2. Intensité monochromatique et intensité (totale)
L’intensité monochromatique est définie
par la relation
,
elle est liée à la luminance monochromatique par la relation
.
L’intensité (totale) est égale à 
1.3. Emittance monochromatique et émittance (totale)
L’émittance monochromatique est définie
par
.
La quantité
représente le flux énergétique monochromatique radiant
émis par la surface
dans toutes les directions c’est à dire dans le demi-espace vu de
.
L’émittance (totale) est égale à 
2. Les lois régissant l’émission du rayonnement thermique
2.1. Relation entre luminance et émittance dans le cas d’une émission diffuse (ou isotrope)
On dit que l’émission est diffuse (ou isotrope) si la
luminance est indépendante de la direction
.
On dit que la source émettrice obéit à la loi de Lambert.

La démonstration étant identique, émittance totale et luminance
totale vérifie une relation de même forme, soit
.
L’émetteur " idéal " qui rayonnerait un maximum d’énergie
à chaque température et pour chaque longueur d’onde est appelé
corps
noir.
Nous verrons qu’on évalue l’énergie émise par
les différents corps par comparaison à celle qu’émettrait
le corps noir dans les mêmes conditions en introduisant un coefficient
appelé émissivité.
La loi de Planck donne la luminance monochromatique du corps
noir : 
où
est la constante de Planck,
est la vitesse des ondes électromagnétiques dans le vide,
la constante de Boltzmann.
La luminance monochromatique du corps noir obéit à
la loi de Lambert ð 
;
Remarque : dans le cadre de ce cours, il ne saurait
être question de justifier la loi de Planck qui fait appel à des
notions de quantification et de Thermodynamique statistique.
La figure ci-après donne une représentation de la loi de Planck.
A chaque température correspond une courbe ayant un maximum situé
à une valeur
de la longueur d’onde variable avec
.
La courbe relative à une température
est toujours située au-dessus de celle correspondant à une température
inférieure
à
.
La croissance avec la longueur d’onde est beaucoup plus rapide que la décroissance.
2.2.2. Approximations de la loi de Planck : lois de Wien
La formule de Planck peut être approchée par
dite formule de Wien si
.
1ère loi de Wien : ![]()
2ème loi de Wien : ![]()

Remarques
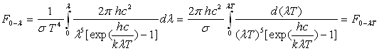
2.2.3. Loi de Stefan-Boltzmann
La luminance totale est obtenue par intégration à
toutes les longueurs d’onde de la luminance monochromatique, soit
,
l’émittance totale étant égale à
.
est la constante de Stefan-Boltzmann
La loi de Stefan-Boltzmann peut être trouvée par
des considérations de Thermodynamique classique. L’accord entre résultats
théorique et expérimental est excellent puisqu’expérimentalement
on s’accorde sur ![]()
Fraction d’émittance totale dans un intervalle monochromatique donné
On a souvent besoin d’évaluer, à une température donnée, la quantité :


Nous donnons dans le tableau ci-après quelques valeurs
caractéristiques de
.
Le lecteur trouvera, à la fin du chapitre, un tableau très complet
de l’émittance du corps noir ainsi que de
.
|
|
1449 |
2898 |
4108 |
6149 |
23220 |
|
|
1% |
25% |
50% |
75% |
99% |
Ainsi, il n’y a pratiquement plus d’énergie rayonnée
(moins de 1%) pour ![]()
L’évaluation des propriétés émissives des substances réelles se fait à partir de celles du corps noir placé dans les mêmes conditions de température et de longueur d’onde à l’aide de coefficients appelés émissivités, monochromatiques ou totales, directionnelles ou hémisphériques.
On définit :
: émissivité
monochromatique directionnelle
: émissivité
monochromatique hémisphérique
: émissivité
totale directionnelle
:
émissivité totale hémisphérique
L’émissivité des substances dépend de leur nature physico-chimique, de leur état de surface ; elle varie avec la longueur d’onde, la direction d’émission et la température de surface.
|
|
On met en évidence deux grandes classes de comportements radiatifs : celle des matériaux conducteurs de l’électricité (métaux) et celle des isolants électriques (diélectriques).
|
Pour la première classe, l’émissivité
est faible sauf dans les directions rasantes à la surface où elle
est plus importante. L’émissivité monochromatique décroît
lorsque
augmente et croît
lentement avec la température.
Pour la deuxième classe, l’émissivité est forte. Elle augmente
avec
, elle suit
relativement bien la loi de Lambert sauf pour les directions rasantes à
la surface où elle diminue notablement.
Définitions :
Remarque : sauf précision contraire, nous ne considérerons que des corps gris diffusants.
3. Réflexion, absorption et transmission du rayonnement par un corps
3.1. Réalisation d’un corps noir
|
On considère une enceinte creuse opaque à
température |
|
3.2. Relation entre absorption et émission : loi de Kirchhoff
|
On place à l’intérieur d’une enceinte fermée
(corps noir) un corps à température |
|
Le flux radiatif émis par l’élément
du corps en direction de l’enceinte est égal à :

Le corps est en équilibre thermique ð
et par suite
puisque
.
Par intégration, cette relation est vraie pour les coefficients
d’absorption et les émissivités hémisphériques monochromatiques
ou totaux, soient
et ![]()
3.3. Coefficients de transmission
|
|
Désignons par |
Le coefficient de transmission, pour une lame d’épaisseur
l est donc égal à
et le coefficient d’absorption si les réflexions sont négligeables
sur les faces d’entrée et de sortie de la lame à
.
En fait, dans la littérature, on ne trouve généralement
pas les valeurs de
mais celles de
ou de
en fonction
de l pour une épaisseur donnée
l de la substance.

Le cas de l'air
L'air est principalement constitué :
Ces dernières molécules sont absorbant pour certaines longueurs d'ondes,
Le coefficient d'absorption pour chacun de ces gaz augmente
avec le produit
où
est
la pression partielle du gaz et L la longueur traversée.
Remarque :
4. Eclairement (irradiance) monochromatique et éclairement (total)
L’éclairement monochromatique appelé aussi irradiance est défini par la relation :
où
est
le flux énergétique et
l'éclairement monochromatique (spectral) de l'élément
de surface dS.
L’éclairement (total) sera défini par
.
Ainsi l’éclairement monochromatique d'un récepteur
situé en
par un émetteur situé en
en supposant que le milieu intermédiaire est parfaitement transparent
est égal à :
puisque ![]()
La courbe ci-après donne l'allure de l'éclairement de la terre par le Soleil en tenant compte de l'absorption par l'air atmosphérique.

