Annexe 1 : Fonctions de Bessel - Polynômes de Legendre
En Conduction de la Chaleur, on est souvent amené à résoudre
des équations différentielles linéaires du second
ordre. Le cas où les coefficients sont constants est classique.
Pour des coefficients variables, nous limitons nos propos à
des solutions qui font appel aux fonctions de Bessel ou aux polynômes
de Legendre. Ces cas correspondent à des solutions exprimables en
séries de puissance.
1. Exemple
Soit l’équation différentielle
pour laquelle on cherche une solution sous la forme
.
En reportant dans l’équation, on obtient
,
soit
Evidemment les deux séries obtenues ne sont autres que les développements
de Mac Laurin de
et
.
On notera, aussi, que le développement en série n’a de
sens que, pour un intervalle de x, où la série est
convergente.
2.1. Equation de Bessel
ð
avec
entier,
nul ou fractionnaire.
La fonction
est nommée fonction de Bessel de 1ère espèce d’ordre
,
la fonction
est nommée fonction de Bessel de 2ème espèce d’ordre
.
On montre que si
est entier
2.2. Equation de Bessel modifiée
ð
La fonction
est nommée fonction de Bessel modifiée de 1ère espèce
d’ordre
, la fonction
est nommée fonction de Bessel modifiée de 2ème espèce
d’ordre
.
Pour passer de l’équation de Bessel à celle modifiée, il
suffit de changer m en im (
).
ð
.
On montre que si
est entier
2.3. Equation différentielle
Le changement de fonction
permet d’exprimer la solution à l’aide des fonctions de Bessel.
En effet, en choisissant
tel que
,
on obtient
,
soit
pour
le signe + et
pour le signe - .
2.4. Equation différentielle
où
sont positifs et
réel ou imaginaire
Le changement de variable
conduit à
2.4.1. Si
on choisit
de telle sorte que
On obtient
qui est l’équation du paragraphe 2.3.
La solution est donc
pour le signe + et
pour le signe - où
,
et
.
2.4.2.
Pour ce cas particulier connu sous le nom " d’équation d’Euler ou d’équation
de Cauchy ", l’équation différentielle devient
.
La solution est
où
sont solutions de l’équation caractéristique
.
2.5. Quelques propriétés des fonctions de Bessel
Dans nos propos,
représente une fonction de Bessel quelconque d’ordre
.
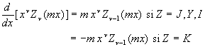
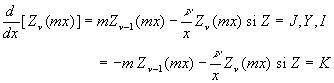
2.5.1. Dérivées




![]()
![]()
2.5.3. Valeurs asymptotiques des fonctions de Bessel (x ®¥ )
2.5.4. Relations entre quelques fonctions de Bessel et les fonctions trigonométriques ou hyperboliques
![]()
![]()
2.5.5. Représentation graphique de quelques fonctions de Bessel
2.6. Quelques calculs classiques avec les fonctions de Bessel en Conduction de la chaleur
On a souvent à calculer l’expression
En intégrant, cette équation devient
Le calcul se continue à partir de la formule
.
Trois cas se présentent suivant la forme de l’équation transcendante :
1)
est
racine de
ð
2)
est
racine de
ð
3)
est
racine de
ð
.Exemples de tables de Fonctions de Bessel ![]()
3.1. Définition
L’équation différentielle linéaire du second ordre à
coefficients variables
est connue sous le nom " d’équation de Legendre ". Ses solutions sont
appelées " fonctions de Legendre ". Si n est nul ou entier positif,
ces fonctions sont appelées " polynômes de Legendre ". Nos propos
seront limités à ce seul cas.
Remarques :
- en Conduction de la chaleur, on rencontre l’équation de Legendre dans
les problèmes sphériques à deux dimensions sous la forme
où
.
- nous ne traitons pas ce cas mais, en Conduction de la chaleur dans les problèmes
sphériques à trois dimensions, on rencontre les " polynômes
associés de Legendre " qui satisfont l’équation différentielle
:
.
La solution de l’équation de Legendre (obtenable par la méthode
des séries de puissance) s’écrit
où
sont
respectivement les polynômes de Legendre de 1ére et de 2ème
espèces de degré n.
3.2. Propriétés
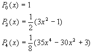
3.2.1. Développements en séries de puissance des polynômes de Legendre

A partir de l’équation de Legendre, on montre sans peine que :

Calcul de
Si f(x) et ses n premières dérivées sont continues dans l’intervalle [-1,+1]
Le cas
peut
être traité simplement en utilisant la relation
Le coefficient
s’écrit
alors
en remarquant que la deuxième forme ne peut être utilisée
que si f(x) et ses n premières dérivées sont continues
dans l’intervalle [-1,+1].
On remarquera que
est une fonction paire de x si n est pair et impaire de x
si n est impair.
Par suite, 